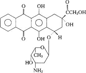
美多比星
C26H27NO10=513.50 CAS-64314-52-9 (1S,3S)-3-乙醇酰-1,2,3,4,6,11-六氢-3,5,12-三羟-6,11-二氧代-1-并四苯基3-氨基-2,3,6-三去氧-α-L-来苏-六吡喃糖苷。 (1S,3S)-3-Glycoloyl-1,2,3,4,6,11-hexahydro-3,5,-12-trihydroxy-6,11-dioxo-1-naphthacenyl 3-amino-2,3,6-trideoxy-α-L-lyxo-hexopyranoside. 抗生素类药。 Medorubicin,Medorubicina. INN,DCIT,USAN.  |