网站首页  词典首页


请输入您要查询的字词:

 

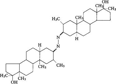
字词 美勃嗪
类别 中英文字词句释义及详细解析
释义 美勃嗪

C42H68N2O2=633.01

CAS-3625-07-8

17β-羟-2α,17-二甲基-5α-雄烷-3-酮吖嗪。

17β-Hydroxy-2α,17-dimethyl-5α-androstan-3-one azine.

17-羟-2,17-二甲基雄烷-3-酮(17-羟-2,17-二甲基雄烷-3-亚基)腙。

17-Hydroxy-2,17-dimethylandrostan-3-one(17-hydroxy-2,17-dimethylandrostan-3-ylidene)hydrazone.

雄激素,同化激素类药。

Mebolazine,Dostalon,Roxilon,Dimethazine.

INN,DCIT,USAN.

随便看

 

离鸟网收录3541549条中英文词条,其功能与新华字典、现代汉语词典、牛津高阶英汉词典等各类中英文词典类似,基本涵盖了全部常用中英文字词句的读音、释义及用法,是语言学习和写作的有利工具。

 

Copyright © 2004-2024 vtrois.com All Rights Reserved
更新时间:2026/4/20 13:47:55