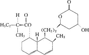
美伐他汀
C23H34O5=390.52 CAS-73573-88-3 (S)-2-甲基丁酸(1S,7S,8S,8aR)-1,2,3,7,8,8a-六氢-7-甲基-8-[2[(2R,4R)-四氢-4-羟基-6-氧代-2H吡喃-2-基]乙基]-1-萘酯-。 (1S,7S,8S,8aR)-1,2,3,7,8,8a-Hexahydro-7-methyl-8-[2-[(2R,4R)-tetrahydro-4-hydroxy-6-oxo-2Hpyran-2-yl]ethyl]-1-naphthyl(S)-2-methylbutyrate. 降血脂药。 Mevastatin. INN,USAN,MI.  |