网站首页  词典首页


请输入您要查询的字词:

 

字词 美他特罗
类别 中英文字词句释义及详细解析
释义 美他特罗

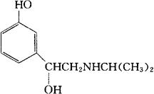
C11H17NO2=195.26

CAS-3571-71-9

间-羟-α-[(异丙氨基)甲基]苄醇。

m-Hydroxy-α-[(isopropylamino)methyl]benzyl alcohol.

3-羟α-[[(1-甲基乙基)氨基]甲基]苯甲醇。

3-Hydroxy-α-[[(1-methylethyl)amino]methyl]-benzenemethanol.

支气管扩张药。

Metaterol,Isofenefrine,S 40045-9.

INN,USAN.

随便看

 

离鸟网收录3541549条中英文词条,其功能与新华字典、现代汉语词典、牛津高阶英汉词典等各类中英文词典类似,基本涵盖了全部常用中英文字词句的读音、释义及用法,是语言学习和写作的有利工具。

 

Copyright © 2004-2024 vtrois.com All Rights Reserved
更新时间:2026/4/18 12:01:05