网站首页  词典首页


请输入您要查询的字词:

 

字词 美三嗪酮
类别 中英文字词句释义及详细解析
释义 美三嗪酮

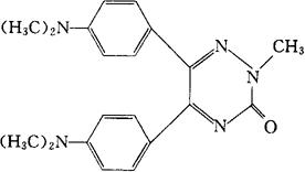
C20H23N5O=349.43

CAS-68289-14-5

5,6-双[对-(二甲氨基)苯基]-2-甲基-1,2,4-三嗪-3(2H)-酮。

5,6-bis[p-(Dimethylamino)phenyl]-2-methyl-astriazin-3(2H)-one.

镇痛药。

Metrazifone,ST 729.

INN,DCF,USAN.

随便看

 

离鸟网收录3541549条中英文词条,其功能与新华字典、现代汉语词典、牛津高阶英汉词典等各类中英文词典类似,基本涵盖了全部常用中英文字词句的读音、释义及用法,是语言学习和写作的有利工具。

 

Copyright © 2004-2024 vtrois.com All Rights Reserved
更新时间:2026/4/18 21:40:29