网站首页  词典首页


请输入您要查询的字词:

 

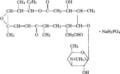
字词 罗沙米星磷酸钠
类别 中英文字词句释义及详细解析
释义 罗沙米星磷酸钠

C31H51NO9·NaH2PO4=701.72

CAS-6080-40-6

CAS-35834-26-5(rosaramicin)

4′-脱氧-卷须霉素A1与磷酸二氢钠的化合物。

4′-Deoxy-cirramycin A1,compd.with sodium dihydrogen phosphate.

蔷薇霉素与磷酸二氢钠的化合物(1∶1)。

Rosamicin compound with sodium dihydrogen phosphate(1∶1).

3-乙基-7-羟-2,8,12,16-四甲基-5,13-二氧代-9-[[3,4,6-三脱氧-3-(二甲氨基)-β-D-木-吡喃己糖基]氧]-4,17-二噁双环[14,1,0]-十七碳-14-烯-10-乙醛的立体异构体与磷酸二氢钠(1∶1)的化合物。

Stereoisomer of 3-ethyl-7-hydroxy-2,8,12,16-tetramethyl-5,13-dioxo-9-[[3,4,6-trideoxy-3-(dimethylamino)-β-D-xylo-hexopyranosyl]oxy]-4,17-dioxabicyclo[14,1,0]heptadec-14-ene-10-acetaldehyde,compound with sodium dihydrogen phosphate(1∶1).

抗菌药。

Rosaramicin Sodium Phosphate,Sch 14947.

NaH2PO4,Rosamicin Sodium Phosphate.

USAN.

随便看

 

离鸟网收录3541549条中英文词条,其功能与新华字典、现代汉语词典、牛津高阶英汉词典等各类中英文词典类似,基本涵盖了全部常用中英文字词句的读音、释义及用法,是语言学习和写作的有利工具。

 

Copyright © 2004-2024 vtrois.com All Rights Reserved
更新时间:2026/4/18 8:37:47