网站首页  词典首页


请输入您要查询的字词:

 

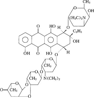
字词 罗多比星
类别 中英文字词句释义及详细解析
释义 罗多比星

C48H64N2O17=941.04

CAS-96497-67-5

(1S,3R,4R)-3-乙基-1,2,3,4,6,11-六氢-3,5,10,12-四羟-6,11-二氧代-4-[[2,3,6-三脱氧-3-(二甲氨基)-α-L-来苏-吡喃己糖基]氧]-1-并四苯基O-3,6-二脱氧-α-L-赤-吡喃己酮糖-(1→4)-O-2,6-二脱氧-α-L-来苏-吡喃己糖基-(1→4)-2,3,6-三脱氧-3-(二甲氨基)-α-L-吡喃己糖苷,2′,3′-酐。

(1S,3R,4R)-3-Ethyl-1,2,3,4,6,11-hexahydro-3,5,10,12-tetrahydrxoy-6,11-dioxo-4-[[2,3,6-trideoxy-3-(dimethylamino)-α-L-lyox-hexopyranosyl]oxy]-1-naphthacenyl O-3,6-dideoxy-α-L-erythro-hexopyranos-4-ulosyl(1→4)-O-2,6-dideoxy-α-L-lyxo-hexopyranosyl-(1→4)-2,3,6-trideoxy-3-(dimethylamino)-αL-hexopyranoside,2′,3′-anhydride.

抗生素类药。

Rodorubicin,HLB 817,Cytorbicin S

INN,USAN.

随便看

 

离鸟网收录3541549条中英文词条,其功能与新华字典、现代汉语词典、牛津高阶英汉词典等各类中英文词典类似,基本涵盖了全部常用中英文字词句的读音、释义及用法,是语言学习和写作的有利工具。

 

Copyright © 2004-2024 vtrois.com All Rights Reserved
更新时间:2026/4/21 4:09:00