网站首页  词典首页


请输入您要查询的字词:

 

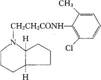
字词 罗多卡因
类别 中英文字词句释义及详细解析
释义 罗多卡因

C18H25ClN2O=320.86

CAS-38821-80-6

反-6′-氯-2,3,4,4a,5,6,7,7a-八氢-1H-1-氮茚-1-丙酰-邻-甲苯胺。

trans-6′-Chloro-2,3,4,4a,5,6,7,7a-octahydro-1H1-pyrindine-1-propiono-o-toluidine.

局部麻醉药。

罗多卡因。

Rodocaine.

INN,USAN.

随便看

 

离鸟网收录3541549条中英文词条,其功能与新华字典、现代汉语词典、牛津高阶英汉词典等各类中英文词典类似,基本涵盖了全部常用中英文字词句的读音、释义及用法,是语言学习和写作的有利工具。

 

Copyright © 2004-2024 vtrois.com All Rights Reserved
更新时间:2026/4/19 14:18:27