网站首页  词典首页


请输入您要查询的字词:

 

字词 罗他霉素
类别 中英文字词句释义及详细解析
释义 罗他霉素

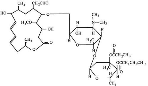
【化学名称】(3R,4S,5S,6R,8R,9R,15R)-(10E,12E)-5-[O-(2,6-二脱氧-4-O-丁酰-3-C-甲基-3-O-丙酰-α-L-核型-己吡喃糖基)-(1→4)-3,6-二脱氧-3-二甲胺基-β-D-吡喃葡糖基氧]-6-甲酰甲基-3,9-二羟基-4-甲氧基-8-甲基-10,12-十六碳二烯-15-交酯

【化学结构】

【药理作用】本品为大环内酯类抗生素。

抗菌作用:(1)抗菌谱:本品对需氧的革兰阳性菌(葡萄球菌属、链球菌属),厌氧菌及支原体显示抗菌作用,其作用比其他16元环大环内酯类抗生素(交沙霉素、麦迪霉素)为强(体外)。(2)杀菌作用:在最小抑制浓度附近,可使活菌数减少(体外)。(3)对红霉素、竹桃霉素诱导的诱导型大环内酯耐药性葡萄球菌显示抗菌作用。对一部分构成型大环内酯耐药菌也显示抗菌作用(体外)。(4)作用机制:本品与细菌核糖体的50S亚基结合,抑制蛋白质合成,而显示抗菌作用。

毒性:(1)急性毒性:LD50( mg/kg),口服时小鼠>5000,大鼠>4000,狗>360;皮下给药大、小鼠均>4000;腹腔内给药大、小鼠均>4000。(2)亚急性毒性:大鼠连续口服每日250~2000 mg/kg30d,认为给药组与对照组之间无明显差异。(3)慢性毒性:大鼠连续口服每日250~2000 mg/kg,9个月,未见异常,狗连续口服每日90~360 mg/kg6个月,360 mg/kg剂量组见轻度体重增加受抑。(4)生殖试验:大鼠妊娠前、妊娠初期、器官形成期及围产期、授乳期每日口服125~1000 mg/kg,对母鼠的生殖能力、新生动物的发育、分化及生殖能力等均未见毒性。兔于器官形成期每日口服100~600 mg/kg,300及600 mg/kg剂量组见母体动物软便、体重抑制、产仔数减少。(5)无诱变性及抗原性。

【药代动力学】(1)血中浓度:健康成人口服本品2片(200 mg)时平均血药浓度于服药后30 min达峰值0.47μg/ml,以后渐减(半衰期约2.11h)。对高度肝功能损害的病人血药浓度持续较高。(2)分布:慢性支气管炎病人的痰中浓度在口服后2~3h达最高浓度(约为同时的血药浓度的1/2,向扁桃体移行也良好,给药后1h达峰值。此外健康成人还向唾液(约为血药浓度的1/4)、皮肤组织及牙龈移行。几乎不向产妇脐带血浆及羊水移行,但向乳汁中移行。(3)代谢与其他16元环大环内酯类抗生素同样,在体内代谢较快,血浆中发现有原形药物,还有柱晶白霉素A7,10-羟基罗他霉素及柱晶白霉素 V。这些代谢物也显示较强的抗菌活性。(4)排泄:健康成人口服本品2片(200 mg),4h内的尿中排泄率为2% 以下。(5)连续给药:21d(61次)连续口服试验,表明其吸收及排泄方式并不变化,认为无蓄积性。

【适应证】葡萄球菌属、链球菌属(粪链球菌除外)、消化链球菌属、拟杆菌属、支原体属中对本品敏感菌所致下列感染:毛囊炎(除脓疱性痤疮)、疖、疖肿症、痈、丹毒、蜂窝组织炎、淋巴管炎、化脓性甲周炎、皮下脓肿、汗腺炎、感染性粉瘤、咽喉炎、急性支气管炎、扁桃体炎、细菌性肺炎、支原体肺炎、外耳炎、中耳炎、副鼻窦炎、牙周炎、颌炎。

【剂量与用法】口服,通常成人量600 mg,3次/d服用。

【临床评价】临床试用于适应证 1 285例,其有效率为82.3%(1057/1285)。以肺炎为中心的呼吸系统感染、扁桃体炎、中耳炎、表浅性化脓性疾患及口腔外科感染症,均以双盲比较试验证明本品有效。日剂量、给药时间大部分为600 mg、14d以内。

【不良反应】1.过敏:偶见皮疹、荨麻疹等,应停药。

2.胃肠道:偶见食欲不振、恶心、呕吐、胃部不适感、腹痛、腹部膨满感、软便、腹泻,罕见便秘等。

3.肝脏:偶见SGOT、SGPT等上升。

4.其他:罕见视物朦胧感。

试用于1581例,46例(2.91%)出现不良反应,主要为消化系统症状32例(2.02 %),其次为皮疹等皮肤症状15例(0.95%)。转氨酶异常例占5.41% 。

【注意事项】1.禁用于对本品有过敏史者;

2.慎用于肝功能不全病人(恐消除半衰期延长,应适当减量等)。

3.孕妇、早产儿、新生儿、婴儿及小儿用药的安全性尚未确立。

【制剂规格】片剂:每片含本品100 mg。

【生产厂家】日本东洋酿造公司。

随便看

 

离鸟网收录3541549条中英文词条,其功能与新华字典、现代汉语词典、牛津高阶英汉词典等各类中英文词典类似,基本涵盖了全部常用中英文字词句的读音、释义及用法,是语言学习和写作的有利工具。

 

Copyright © 2004-2024 vtrois.com All Rights Reserved
更新时间:2026/4/17 20:36:15