网络计划完工期的概率评价
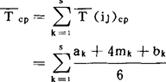
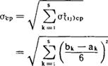
指对工序作业时间统计资料缺乏、未知和难以估计的因素较多,而不能确定工序时间的非确定网络问题,由关键线路方法所得到的完工工期的不肯定性进行的评价。 一般可包含两方面:任务按一定期限完成的概率或可能性有多大;按一定概率完成任务的工期有多长。评价计算可按下述步骤进行: (1)工序时间估计。用三时法计算平均工序时间: 设a表示最乐观时间,在顺利情况下,完成工序的最短时间;b表示最悲观时间,在不利情况下,完成工序的最长时间;m表示最可能时间,在正常情况下,完成工序的时间。 则:  其方差为:  均方差为:  (2)关键线路完工时间。 平均时间:  均方差:  (角标带CP的参数表示关键工序或关键线路上的参数量,S表示关键线路上关键工序数目) (3)完工概率估计及一定概率值下的完工时间估计。 关键线路完工时间服从以 为均值,σcp为均方差的正态分布。 设T为规定的工程完工时间或目标时间。 ❶ 在规定T时间内可能完工概率计算:  查正态分布表,可得临介值Z对应的概率P(Z),即为工程在T时间内完工的概率。 ❷ 要求工程完工时间的概率不小于某一数值,计算出工程的完工时间: 其中Z为由规定的完工概率值P(Z),由正态分布表查得的相应临介值。 |