网站首页  词典首页


请输入您要查询的字词:

 

字词 网坑白水溢流的纤维损失计算及实例
类别 中英文字词句释义及详细解析
释义 网坑白水溢流的纤维损失计算及实例

[例]某长网造纸机湿部流程方框图如下。已知纸料稀释前后的浓度分别为20g/L和5g/L,漏网率为90%(以体积计)和50%(以固形物计),稀释前的纸料流速为13500L/min。计算:
❶ 网坑白水溢流的纤维损失;
❷ 成品纸产量(水分含量为8%)。

解:根据流程得:

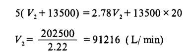
V1=(V2+13500)×90%

V1C1=(V2+13500)×5×50%

两式相除得:

由混合部位处的固体物平衡得:

故:V1=(91216+13500)×90%=94244(L/min)

网坑白水溢流固体物损失为:

(94244-91216)×2.78=8418(g/min)

❷ 进入干燥部固体物量为:

(13500+V2)×5×50%=(13500+91216)×5×50%

=261790(g/min)

因成纸水分为8%(绝干纤维基准)

故纸机成品纸产量为:

随便看

 

离鸟网收录3541549条中英文词条,其功能与新华字典、现代汉语词典、牛津高阶英汉词典等各类中英文词典类似,基本涵盖了全部常用中英文字词句的读音、释义及用法,是语言学习和写作的有利工具。

 

Copyright © 2004-2024 vtrois.com All Rights Reserved
更新时间:2026/4/19 6:53:09