网站首页  词典首页


请输入您要查询的字词:

 

字词 缺损数据
类别 中英文字词句释义及详细解析
释义 缺损数据

由于主客观条件的影响,某些试验单元上的数据漏失或不能使用。

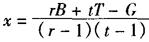
耶茨发展了一种估计这类缺损的方法,它并不提供额外的信息,而只是为了使其余数据的分析得以顺利进行。如在一个随机化完全区组内有一个单元的观察值丢失了,则

是该漏失数据的合适估计量,其中r和t分别为区组数和处理数,B和T分别为含此丢失数据的区组与处理中其余观察数据的总和,G为全部观测中除去该漏失数据的观测值之和,此时的方差分析自由度有所变化。对拉丁方和其他一些设计,有不同的估算公式。

随便看

 

离鸟网收录3541549条中英文词条,其功能与新华字典、现代汉语词典、牛津高阶英汉词典等各类中英文词典类似,基本涵盖了全部常用中英文字词句的读音、释义及用法,是语言学习和写作的有利工具。

 

Copyright © 2004-2024 vtrois.com All Rights Reserved
更新时间:2026/4/19 3:31:35