网站首页  词典首页


请输入您要查询的字词:

 

字词 绿五味子
类别 中英文字词句释义及详细解析
释义 绿五味子

【概况】:

基源 为木兰科五味子属植物绿叶五味子的果实。

原植物 绿叶五味子Schisandra viridis A、C、Smith

形态 多年生落叶木质藤本。枝条近圆形,无纵棱翅;芽鳞较小,很少长达10mm,常常早落。

叶片通常卵状椭圆形、长4~14cm,宽3~7cm,常有半透明或透明腺点,通常最宽处在中部以下;叶背面无白粉,干时绿色或榄绿色,有光泽,网脉明显。花单性,雄花花被片5~8;雄蕊10~20枚,排成倒卵形、近圆形、椭圆状卵形的雄蕊群;药室近平行;雌花的心皮15~25枚,假花柱不明显,长约2mm。

果实肉质。种皮具明显的皱纹或近乳头状,或粗糙。花期4~6月,果期6~9月。(图见《广西植物志》.第1卷.113页.图版47∶2)

生境与分布 生于山顶、山坡、山谷或溪边的疏林、灌丛中。分布于安徽、浙江、福建、江西、广东、广西,湖南、贵州、云南等地。

。【化学】:

果实含五味子醇甲(Schizandrol A)0.03%、五味子醇乙0.07%、五味辛B,C(Gomisin B,C)0.12%、翼梗五味子酚(Schizanhenol)2.63%、去氧五味子素(Deoxyschizandrin)0.46%、γ-五味子素(γ-Schizandrin)0.005%、五味子素C(Schigandrin C)0%[1]

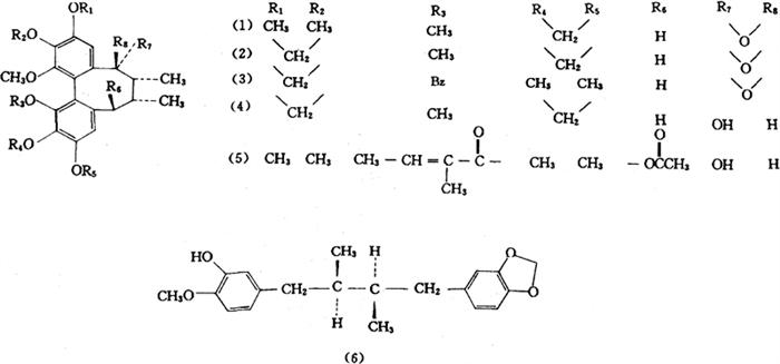
附 根和茎中分得新木脂素五脂酮C,D,E(Schisanlignone C,D,E)(1-3),五脂醇D(schisanlignaol D)(4),五味子酯K(Schisantherin K)(5),异安五脂素(Isoanwulignan)(6)[2,3]

参考文献 [1] 天然产物研究与开发 1990;2(4)∶51 [2] 化学学报 1992;50(5)∶515 [3] 化学学报 1992;50(6)∶620

【药性】:

主治 ❶ 《中药志》:“在湖南、安徽也有作五味子药用。”
❷ 《湖南药物志》:“荨麻疹,带状疱疹。”

用法用量 外用:适量,全株煎水洗,或鲜叶捣烂敷或绞汁搽。

随便看

 

离鸟网收录3541549条中英文词条,其功能与新华字典、现代汉语词典、牛津高阶英汉词典等各类中英文词典类似,基本涵盖了全部常用中英文字词句的读音、释义及用法,是语言学习和写作的有利工具。

 

Copyright © 2004-2024 vtrois.com All Rights Reserved
更新时间:2026/4/18 21:42:27