维生素K1[典]
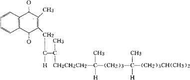
C31H46O2=450.70 CAS-84-80-0 植基苯醌。 Phylloquinone. 2-甲基-3-植基-1,4-萘醌。 2-Methyl-3-phytyl-1,4-naphthoquinone. 维生素类药。参与肝内凝血酶原等凝血因子的合成。 用于维生素K缺乏症及低凝血酶原血症。 叶萘醌(台),凝血维生素-维他命K1植萘醌。 Vitamin K1,Phytomenadionum,Phytonadione,Fitomenadione. 维生素K1片,维生素K1注射液(叶萘醌注射液),叶萘醌锭(台)。 INN,BAN,BP,DCF,DCIT,FP,JP,USAN,USP,MI.  |