网站首页  词典首页


请输入您要查询的字词:

 

字词 维生素D2[典]
类别 中英文字词句释义及详细解析
释义 维生素D2[典]

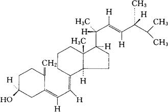
C28H44O=396.66

CAS-50-14-6

9,10-开键麦角甾-5,7,10(19),22-四烯-3-醇(3β,5Z,7E,22E)。

9,10-Secoergosta-5,7,10(19),22-tetraen-3-ol(3β,5Z,7E,22E).

维生素类药。促进肠内钙磷的吸收,促进骨质钙化。用于佝偻病、骨软化症及甲状腺功能低下等。

麦角骨化醇,骨化醇,维生素丁2,第二钙化醇(台)。

Vitamin D2,Ergocalciferol,Oleovitamin D2,Calciferol.Deltalin,Drisdol.

维生素D2片,维生素D2胶囊,维生素D2丸,维生素D2注射液,第二钙化醇胶囊(台)。

INN,BP,DCIT,EP,FP,GDP,JP,NFN,USAN,USP,USSRP,MI.

随便看

 

离鸟网收录3541549条中英文词条,其功能与新华字典、现代汉语词典、牛津高阶英汉词典等各类中英文词典类似,基本涵盖了全部常用中英文字词句的读音、释义及用法,是语言学习和写作的有利工具。

 

Copyright © 2004-2024 vtrois.com All Rights Reserved
更新时间:2026/4/17 22:12:17