网站首页  词典首页


请输入您要查询的字词:

 

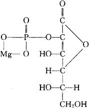
字词 维生素C磷酸酯镁[中]
类别 中英文字词句释义及详细解析
释义 维生素C磷酸酯镁[中]

C6H9O9Mg=247.42

L-抗坏血酸-2-氧-磷酸酯镁。

L-Ascorbic acid 2-O-phosphate magnesium salt.

维生素类药。用于强化食品,作为维生素C源的补给,稳定可靠。进入人体后能被迅速地酶解成维生素C。

随便看

 

离鸟网收录3541549条中英文词条,其功能与新华字典、现代汉语词典、牛津高阶英汉词典等各类中英文词典类似,基本涵盖了全部常用中英文字词句的读音、释义及用法,是语言学习和写作的有利工具。

 

Copyright © 2004-2024 vtrois.com All Rights Reserved
更新时间:2026/4/17 21:50:15