网站首页  词典首页


请输入您要查询的字词:

 

字词 维生素B2[典]
类别 中英文字词句释义及详细解析
释义 维生素B2[典]

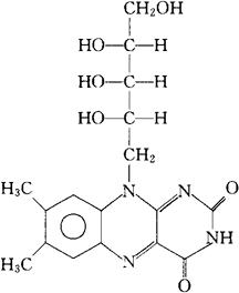
C17H20N4O6=376.37

CAS-83-88-5

6,7-二甲基-9-(D-核糖醇基)异咯嗪。

6,7-Dimethyl-9-(D-ribityl)isoalloxazine.

维生素类药。参与体内生物氧化作用。

用于防治口角炎、舌炎、阴囊炎、结膜炎、脂溢性皮等炎维生素B2缺乏症。

核黄素(台),乳黄素、维生素乙2,维他命B2

Vitamin B2,Riboflavin,Flavaxin,Lactoflavinum.

维生素B2片(核黄素片),维生素B2注射液(核黄素注射液),核黄素锭(台)。

INN,BP,DCF,DCIT,EP,FP,GDP,JP,NFN,USAN,USP,USSRP,MI.

随便看

 

离鸟网收录3541549条中英文词条,其功能与新华字典、现代汉语词典、牛津高阶英汉词典等各类中英文词典类似,基本涵盖了全部常用中英文字词句的读音、释义及用法,是语言学习和写作的有利工具。

 

Copyright © 2004-2024 vtrois.com All Rights Reserved
更新时间:2026/4/19 13:44:06