网站首页  词典首页


请输入您要查询的字词:

 

字词 续断
类别 中英文字词句释义及详细解析
释义 续断

【名称出处】:《本经》

【概况】:

异名 龙豆、属折(《本经》),接骨、南草(《别录》),接骨草(《卫生易简方》),川断(《临证指南》),鼓槌草、和尚头(《滇南本草》)。

基源 为川续断科川续断属植物川续断或日本续断的根。

原植物 川续断Dipsacus asperoides C.Y.Chen ex T.M.Ai(Dipsacus asper auct.non Wall.)。日本续断Dipsacus jjaponicus Miq.

历史 续断始载于《本经》。历代本草收载甚为混乱,如李时珍曰:“李当之、范汪并言是虎蓟,日华子言是大蓟,一名山牛蒡。苏恭、苏颂皆言叶似苎麻,根似大蓟。而《别录》复出大小蓟条,颇难依据。但自汉以来,皆以大蓟为续断,相承久矣。究其实,则二苏所云似与桐君相符,当以为正。

今人所用以川中来,色赤而瘦,折之有烟尘者良焉。

郑樵通志谓范汪所说乃南续断,不知何据?盖以别川续断耳。”《滇南本草》谓:“续断一名鼓槌草,又名和尚头。独苗对叶,苗上开花似槌。

”在《植物名实图考》载:“今滇中生一种续断,根似芥菜,亦多刺,与大蓟微类。稍端夏出一苞黑刺如毬,大如千日红花。苞开花白,宛如葱花。茎劲,经冬不折。

”李时珍认为“川中来”的川续断和《滇南本草》、《植物名实图考》之续断与现时商品川续断均符合,除《植物名实图考》附图根部与今之续断稍不符外,其余部分及说明均系此种。

形态 多年生草本,高达1m。

根圆锥形,黄褐色。茎直立,中空,多分枝,具棱,生细柔毛,棱上疏生粗短硬刺。

基生叶稀疏丛生,柄长达25cm,叶片羽状深裂,顶端裂片较大,卵形,侧裂片3~4对,倒卵形或匙形;茎生叶对生,叶柄短或近无柄,叶片羽状深裂,顶端裂片最大,椭圆形至卵状披针形,长11~13cm,宽4~6cm,两侧裂片较小,2~4对.披针形或长圆形,边缘有粗锯齿,两面披白色贴伏毛。顶生头状花序球形,径2~3cm,花小,多数,总苞片5~7枚,狭披针形,被硬毛;小苞片倒卵形,具4棱,倒卵柱状,每侧面具2条纵沟;花萼4齿裂或不裂,被短毛;花冠漏斗状,白色或浅黄色,4裂,花冠管基部较细,外侧披毛;雄蕊4,伸出花冠外;子房包于小总苞内,柱头短棒状。

瘦果长倒卵柱状,包藏于小总苞内,仅顶端外露。花期8~9月,果期9~10月。

(图见《中国植物志》.第73卷.第1分册.图版21∶1~3)

生境与分布 生于海拔500~2000m间的山坡草丛、林缘或路旁。分布于四川、陕西、安康、汉中地区;西南地区及陕西、甘肃、江西、湖北、湖南、广西、及西藏等省区。

日本续断与川续断其不同之处是植株高1m许,主根长圆锥状。基生叶具长柄,叶片椭圆形,分裂或不分裂;茎生叶对生,叶片椭圆状卵形至长椭圆形,长8~20cm,宽3~8cm,常为3~5裂,中央裂片最长,两侧裂片较小,裂片基部楔形,下延成翅,边缘具疏齿,或近全缘。头状花序顶生,圆球形;总苞片线形,具白色刺毛;小苞片顶端喙尖长5~7mm;花萼浅盘状,4裂,具极浅的齿、齿间不具小齿,花冠紫红色,4浅裂,裂片不相等,外被白色柔毛。生于山坡草地土壤较湿处或路旁沟边、阳坡草地。

分布河北、陕西、山西、江苏、安徽、浙江、江西、福建、广西、贵州等省区。药材“续断”为川续断之根。

本种之根较“川续断”坚硬,少数地区亦做续断用。。【生药】:

栽培 宜凉爽湿润的气候,能耐寒,忌酷热,怕水涝。

以土层深厚、疏松肥沃的砂质壤土为佳。忌连作。用种子繁殖,春秋季播种。南方以9月下旬~10月上旬秋播为宜,按行株距各33cm点播或条播,深2~3cm。

点播,每穴播下种子5~6粒,每亩用种量约0.5kg。播后施稀人畜粪水,盖上细土。

也可在春季播种育苗,苗高10cm时移栽。播种出苗后,结合松土除草进行间苗,每穴留苗2~3株。每次中耕后都应追肥,秋季可用堆肥或草木灰追施。

主要虫害蚜虫,用40%乐果乳油1000倍液喷杀。

采集 秋季采挖根,除去根头及细根,用微火烘至半干,堆置“发汗”至内心绿色时,再烘干。加工时不宜日晒,否则变硬、色白,质量变次。

药材主产于湖北、湖南、四川、江西、广东、陕西、云南也产。

鉴别

性状 根圆柱形,略扁,长5~15cm,直径0.5~2cm;表面棕褐色或灰褐色,有多数明显而扭曲纵纹及沟纹,可见横长的皮孔及细根痕。

质稍软,久置后变硬,易折断,断面不平坦,皮部绿褐色或淡褐色,木部黄褐色,有时可见放射状花纹。气微香,味苦、微甜而涩。以条粗、质软、断面带墨绿色者为佳。

显微 根横切面:木栓层为数列木栓细胞,壁较薄。其内为数层排列整齐的栓内层。韧皮部宽广,靠外方有许多裂隙,筛管群稀疏散在。

形成层成环。木质部导管多2~3个成群散在,近形成层处分布较密,木射线宽广。根的中心有髓,但直径0.5cm以下的无髓。薄壁细胞含草酸钙簇晶及淀粉粒。

(图见《中药志》.第2册.第2版.538页.图401)

理化 取样品粉末10g,加10%氨水湿润,加氯仿30ml冷浸过夜,滤过,滤液浓缩后,用1%盐酸提取2次,每次5ml,合并提取液,用碳酸钾碱化,用氯仿提取2次,每次5ml,合并氯仿液,点于硅胶G板上,以龙胆碱为对照,用氯仿-甲醇(7∶3)展开,展距14cm,喷改良碘化铋钾试剂,斑点桔红色。(图见同上.图402)

加工炮制 ❶ 酒续断 取续断片用黄酒拌匀,闷润至透,置锅内用文火加热,炒至微带黑色时,取出放凉。

每续断片100kg,用黄酒10kg。
❷ 盐续断 取续断片用盐水拌匀,闷润至透,置锅内用文火加热,炒干,取出放凉,每续断片100kg,用食盐2kg。

贮藏 置通风干燥处,防潮,防蛀;酒续断、盐续断密闭,置阴凉干燥处。。

【化学】:

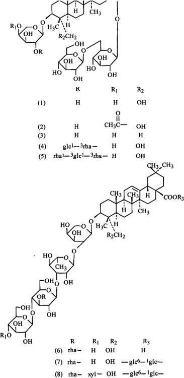
川续断根含龙胆碱、挥发油、三萜皂甙[1]及蔗糖、胡萝卜甙、β-谷甾醇、木通皂甙D(Akebia soponin D)(1)、3-O-(4-O-乙酰基)-α-L-吡喃阿拉伯糖常春皂甙元28-O-β-D-吡喃葡萄糖-(1→6)-β-D-吡喃葡萄糖酯甙(2)和3-O-α-L-吡喃阿拉伯糖齐墩果酸28-O-β-D-吡喃葡萄糖-(1→6)-β-D-吡喃葡萄糖酯甙(3)[2,3]

尚含獐牙菜甙(Sweroside)、马钱素(Loganin)、茶茱萸甙(Cantleyoside)[3],以及两个新化合物:3-O-β-D-吡喃葡萄糖(1→3)-α-L-吡喃鼠李糖(1→2)-α-L-吡喃阿拉伯糖常春皂甙元28-O-β-D-吡喃葡萄糖(1→6)-β-D-吡喃葡萄糖酯甙(4)和3-O-α-L-吡喃鼠李糖(1→3)-β-D-吡喃葡萄糖(1→3)-α-L-吡喃鼠李糖(1→2)-α-L-阿拉伯糖常春甙元28-O-β-D-吡喃葡萄糖(1→6)-β-D-吡喃葡萄糖酯甙(5)[4]。)又从川续断根得到3个微量新三萜皂甙,其结构分别鉴定为:3-O-[β-D-吡喃葡萄糖(1→4)][α-L-吡喃鼠李糖(1→3)]-β-D-吡喃葡萄糖(1→3)-α-L-吡喃鼠李糖(1→2)-α-L-吡喃阿拉伯糖-常春皂甙元(6),(6)的28-O-β-D吡喃葡萄糖(1→6)-β-D-吡喃葡萄糖酯甙(7),3-O[β-D-吡喃木糖(1→4)-β-D-吡喃葡萄糖(1→4)][α-L-吡喃鼠李糖(1→3)]-β-D-吡喃葡萄糖(1→3)-α-L-吡喃鼠李糖(1→2)-α-L-吡喃阿拉伯糖-齐墩果酸28-O-β-D-吡喃葡萄糖(1→6)β-D-吡喃葡萄糖酯甙(8)[5]

根中还分得两个新三萜皂甙:川续断皂甙B,C(Dipsacus saponin B,C)[6]

从日本续断根得到两个新三萜皂甙,命名为日本续断皂甙E1和E2(JapondipsaponinE1,E2),两者均含有五个糖,甙元分别为常春藤皂甙元和齐墩果酸,结构如下(glc为β-D-,rha和ara为α-L-)[7]。E1常春藤皂甙元-cooglcE2齐墩果酸

新近,从川续断Dipsacus asperoides C.Y.Cheng et T.M.Ai根中分离到一系列甙元为常春藤皂甙元的新旧皂甙;还分得生物碱Venaterpine和Cantleyine,并未分得到龙胆碱(Gentianine),该作者认为记载含龙胆碱的文献有误[8]

参考文献 [1] 江苏省植物研究所等.新华本草纲要.第3册.上海科学技术出版社,1990;351 [2] 药学学报 1991;26(9)∶676-681 [3] Phytochemistry 1990;29(1)∶338 [4] 药学学报 1991;26(12)∶911 [5] 药学学报 1993;28(5)∶358 [6] J Nat Prod 1993;56(11)∶1912 [7] 北京医科大学学报 1993;25(5)∶384 [8] 中国药科大学学报 1993;24(5)272~275,276~280,281~282

【药性】:

性味 苦、辛,微温。

❶ 《本经》:“苦,微温。”
❷ 《滇南本草》:“微苦、微酸,温。”
❸ 《本草经疏》:“甘、辛,微温。”
❹ 《新华本草纲要》:“苦、甘、平,微温。”

归经 入肝、肾经。 ❶ 《滇南本草》:“入肝。”
❷ 《雷公炮制药性解》:“入肝、肾二经。”

功效 补肝肾,行血,止血,安胎,续筋骨。

主治 ❶ 《本经》:“主伤寒,补不足,金疮,痈疡,折跌,续筋骨,妇人乳难,久服益气力。”
❷ 《别录》:“主崩中漏血,金疮血内漏,止痛,生肌肉,踠伤,恶血,腰痛,关节缓急。”
❸ 《药性论》:“主绝伤,去诸温毒,能宣通经脉。”
❹ 《日华子本草》:“助气,调血脉,补五劳七伤,破癥结瘀血,消肿毒,肠风,痔瘘,乳痈,瘰疬,扑损,人产前后一切病,面黄虚肿,缩小便,止泄精,尿血,胎漏,子宫冷。”
❺ 《滇南本草》:“治妇人白带,生新血,破瘀血,落死胎,止咳嗽咳血,治赤白便浊。”
❻ 《滇南本草图说》:“治一切无名肿毒,杨梅、天泡诸疮。”
❼ 《新华本草纲要》:“治腰背酸痛,足膝无力,遗精,崩漏,胎动不安,关节不利,痈疽溃疡,筋骨折伤。”

用法用量 内服:煎汤,6~13g;或入丸、散。

外用:捣敷。

使用注意 ❶ 《得配本草》:“初痢勿用,怒气郁者禁用。”
❷ 《本草经集注》:“地黄为之使,恶雷丸。”。【临床应用】:

配伍应用 ❶ 配杜仲、狗脊,治肝肾不足所致腰膝酸软,疼痛乏力。

❷ 配艾叶、当归,治崩漏及胎动下血。
❸ 配山药、覆盆子,治梦遗滑精、五更泄泻。
❹ 配乳香、没药、三七、杜仲,治跌打损伤,筋骨折断。
❺ 配桑寄生、白术、阿胶,治妊娠二、三月胎动欲堕者。

❻ 配当归、艾叶、白芍、杜仲,治妊娠阴道流血。
❼ 配牛膝、生地、制附片、狗脊,治肾虚腰脊酸痛。
❽ 配紫菀、火麻仁,治血虚便秘。
❾ 配枸杞子、仙灵脾、龙骨,治小便频数。

❿ 配牛膝、巴戟天、锁阳,治男性不育,死精症或少精症。

方选和验方 ❶ 续断散(《魏氏家藏方》)治老人风冷,转筋骨痛:续断、牛膝(酒浸)等份为末,每服6g,温酒调服,食前服。
❷ 续断丸(《扶寿精方》)治腰痛,足膝酸软:续断60g,破故纸、牛膝、木瓜、萆薢、杜仲各30g。同研细末,炼蜜为丸梧子大,每服60丸,空心无灰酒下。

❸ 《纲目》:“治妊娠二、三月,胎动欲堕:续断(酒浸)、杜仲(姜汁炒去丝)各60g。为末,枣肉煮烊,杵和为丸如梧子大。每服30丸,米饮下。”
❹ 《本草汇言》:“治乳汁下行:川续断15g,当归、川芎各5g,穿山甲(煅)、麻黄各6g,天花粉9g。水煎服。”
❺ 《本草汇言》:“治乳痈:续断(酒浸,炒)250g,蒲公英(炒)125g。同研末,每服9g,白汤调服,早晚各服1次。”
❻ 寿胎丸(《医学衷中参西录》)治滑胎:川续断、桑寄生、真阿胶各60g,菟丝子(炒、炖)120g。同研细,水化阿胶和为丸,每1g作3丸。

每服20丸,开水送服,日2服。
❼ 续断丸(《常用老年保健中药》)治腰腿痛:续断、萆薢、牛膝、杜仲、木瓜各100g。研为细末,炼蜜作丸,每丸重8g,每服1丸,白开水或酒送服,日3服。

❽ 《用药心得十讲》:“治跌打损伤,外伤肿痛,骨折:续断、骨碎补、牛膝、乳香、没药、三七、杜仲、当归、川芎。用量随证加减,水煎服,每日1剂。”
❾ 《实用中药手册》:“治腰痛,四肢筋骨痛:续断20g,破故纸、牛膝、木瓜、萆薢、杜仲各10g。同研末,炼蜜为丸,每服6g,日2服。


❿ 龙骨续断丸(《全国中药成药处方集》)治肾虚腰痛、筋骨痿软:续断、虎骨、萆薢、茴香、狗肾、当归、砂仁、鹿茸各30g,龙骨、青盐、穿山甲、乳香各20g,没药10g,杜仲60g,菟丝子120g。同研为末,面糊为丸,每服3g,淡盐汤送服。

⑾起痿丸(《全国中药成药处方集》)治腰酸腿痛、步履艰难,筋痿骨软,四肢痉挛,干湿脚气,气促喘满,遍身浮肿:续断、石楠叶、薏苡仁、附子、天南星、当归、肉桂、牛膝、草薢、防风、黄芪、石斛、羌活、明天麻、苍术各30g,木瓜120g,槟榔15g。同研为末,炼蜜为丸,每丸重6g,每服1丸,白开水送下。

⑿养血安胎丸(《全国中药成药处方集》)治胎动不安,孕期腹痛:续断、当归、川芎、广陈皮、黄芩、茯苓、苏梗、杜仲、麦冬、砂仁各30g,白术60g,益母草、香附各90g,甘草15g。同研为末,炼蜜为丸如梧子大,每服9g,白开水送下。

⒀泰山盘石丸(《全国中药成药处方集》)治女性气血两亏,或肥而不实,或瘦而血热,倦怠少食,屡次堕胎:续断、党参、炙黄芪、当归、黄芩、熟地、川芎、白芍、炒白术各30g,炙甘草、砂仁各15g,糯米60g。同研细末,炼蜜为丸,每丸重9g,蜡皮封固。

每服1丸,白水下。 ⒁《全国中草药汇编》:“治先兆流产:川续断、桑寄生、女贞子各12g。水煎服,每日1剂。” ⒂《中医药物贴脐疗法》:“治虚痨,骨蒸劳热,自汗盗汗,咳嗽吐血,两颧潮红,梦遗滑精:川续断、川乌、乳香、没药、朱砂各15g,明雄黄10g,麝香1g。同研细末,取20g纳于脐孔中央,盖以槐皮,上放艾绒炙之,至病人腹中作响,大便泻下涎物为度,2天1次。炙后饮米汤,食粥,饮少量黄酒,以助药力,至愈为止。

” ⒃《疮疡证治》:“治阴疽:续断、当归、肉桂、草乌、川乌、地龙、僵蚕、赤芍、白芷、白菉、白及、防风、荆芥、五灵脂、木香、陈皮、香橼、大黄各40g。用麻油5000g,先煎鲜大力子叶梗根3株,白凤仙花梗120g,熬至焦黑去渣;再入上药熬煎去渣,用东丹、苏合香油、麝香适量收膏,摊成膏药外贴患处,每日更换1次。

” ⒄湖北中医杂志 1984;(2):“治骨质增生症:川续断、杜仲、淮山药、毛姜、当归、熟地各60g,千年健、破故纸、五加皮、大伸筋、白鲜皮、石兰藤、石菖蒲、前胡、牛膝、寻骨风、威灵仙各30g,肉桂、附片、制台乌、生石膏、土鳖虫、甘草各15g。浸于2500ml酒中7天,服酒,每次15ml,日服3次,1个月为1疗程。” ⒅广西卫生 1975;(4):“治骨折:川续断、五加皮、莪术、降香、骨碎补、厚朴、自然铜各18g,生南星、生半夏、生川乌、生草乌、生大黄、金边土鳖虫各24g,栀子、薄荷梗、赤芍、红花、乳香、没药各12g,泽兰、秦艽、归尾各15g。同研细末,醋调成糊状,摊纱布上,厚度约0.5cm,敷于经复位之骨折处,用绷带包扎,外加小夹板固定,2天换药1次。

” ⒆新中医 1982;(10):“治子宫肌瘤:川续断、艾叶、桂枝、茯苓、桃仁、丹皮、赤芍、鳖甲、卷柏、青皮、黄芪各10g,生牡蛎30g,黄柏6g。同研末,制成蜜丸,每丸重10g,每服1丸,每日服3次。” ⒇新中医 1981;(7):“治胎位不正:当归、白芍、续断、熟地、党参、白术、黄芪各10g,川芎、炙甘草、枳壳各6g。水煎服,每日1剂,连服3日为1疗程。” (21)福建中医药 1981;(3):“治尿频尿急:续断、白芍(酒炒)、桂枝、龙骨、菟丝子、当归、益智仁、怀山药各6g,巴戟天、破故纸各3g,远志、甘草各1g,水煎服,每日1剂。” (22)上海中医药杂志 1989;(4):“治小儿麻痹后遗症:续断、当归、川芎、赤芍、熟地、羌活、桂枝、五加皮、防己、杜仲、红花、木瓜、牛膝、甘草。剂量视年龄大小,体质强弱而定。水煎服,每日1剂,用3~5剂后,视病况加减之。

” (23)黑龙江中医 1991;(1):“治肩周炎并有腰膝痛者:川续断、桑枝、当归各20g,桑寄生、羌活、桂枝、白芍、姜黄、防风各15g,细辛5g,鸡血藤、威灵仙各30g。水煎服,每日1剂。” (24)黑龙江中医药 1991;(1):“治脾肾阴虚型外阴白斑:续断、菟丝子、党参、白术、黄芪、茯苓、桑寄生、巴戟天、肉桂、覆盆子、仙灵脾、益母草、芡实、薏苡仁。剂量随症而定,水煎服,每日1剂。

” (25)吉林中医药 1991;(5):“治习惯性流产:川续断、桑寄生、菟丝子、白芍、生地、黄芩、白术各15g,甘草10g。水煎服,每日1剂。

” (26)福州中医 1991;(1):“治因睾丸炎后引起的无精子证:川续断、山萸肉、熟地、巴戟天、菟丝子、远志、蛇床子、牛膝、山药、当归、杜仲(炒)、枸杞子、益智仁、鹿角霜、白术(炒)、太子参、王不留行、路路通。剂量随证加减,水煎服,每日1剂,服药2~4个月为1疗程。

” (27)福州中医 1991;(1):“治死精子症:川续断、当归、蛇床子、淫羊藿、仙茅、补骨脂、枸杞子、淮山药、巴戟天、露蜂房。剂量随症加减。水煎服,每日1剂,服3个月为1疗程。” (28)江苏中医 1991;(10):“治损伤后期,骨骼筋肉萎软无力,活动不利以及骨折愈合迟缓:川续断、当归、五加皮、淫羊藿、狗脊、狗骨、蟹壳各10g,红花6g,鸡血藤30g,千年健、钻地风、自然铜各15g。同置于锅内,加水4000~5000ml煎沸5分钟,兑入白酒及食醋各50g,局部熏蒸。为聚热保暖,可在伤处周围用干毛巾遮盖。待水温适宜可将患肢放入药汁内泡洗,或用毛巾蘸药水洗敷,直至水冷为止。冬季可用炉火边加温边熏洗。

结束后立即用干布擦干、保温。每剂药可用2天,每天熏洗2次,每1次1小时。” (29)安胎汤(辽宁中医杂志 1994;(9))治先兆流产:续断30~50g,桑寄生、菟丝子各30g,阿胶、白术各9g,白芍12g,淮山药20g,黄精15g,香附9g,砂仁3g,陈苎根30g,生地榆30~40g。偏气虚加党参、黄芪;血虚加首乌、熟地;阴虚火旺加黄芩、生地、丹皮炭、旱莲草;腹痛重用白芍30g,加陈皮;小腹下坠感加升麻。

每日1剂,煎汤服。 (30)骨痛要方(湖北中医杂志 1994;(5))治坐骨神经痛:续断18g,山药、川牛膝、川木瓜各15g,当归、甘草、田七各9g,海风藤、鸡血藤各30g,蕲蛇15g,炮山甲30g,蜈蚣3条。每1剂,水煎服。” (31)《中华进补大全》:“治肾虚腰酸无力,早衰健忘:续断15g,肉苁蓉、茯苓各12g,远志9g,石菖蒲6g。水煎服,每日1剂。” (32)《中华进补大全》:“治腰膝冷痛,筋骨不利:续断15g,杜仲、牛膝、防风、当归、白芍各9g,川芎、细辛各6g。水煎服,每日1剂。治阳痿,视力模糊:续断、桑寄生、熟地、菟丝子、杜仲各12g,神曲10g,山茱萸、巴戟天各9g。

水煎服,每日1剂。” (33)《中华进补大全》:“治胎动不安,妊娠下血,腰痛腹坠,小便频多:续断、桑寄生、菟丝子各12g,阿胶6g(烊化冲服)水煎服,每日1剂。” (34)散血膏(《全国中草药新医疗法展览会技术资料选编》)治晚期恶性肿瘤有溃烂者:续断、防风、白芷、南星、土鳖虫、自然铜、猴骨、龙骨、桂皮、丹皮各10g,升麻、附子、过山龙、黄芪各15g,红丹500g,香油1000ml。

同熬成膏,摊于布上外贴。

每日换1次。

单方应用 ❶ 《卫生易简方》:“治跌打损伤,关节扭挫伤:续断全草适量,捣烂外敷患处。”
❷ 《圣济总录》:“治产后血运,乍寒乍热:续断90g,粗捣筛,每次服6g,水煎去渣温服。”
❸ 《湖南药物志》:“治水肿:续断根,炖猪腰服。”
❹ 《实用中药手册》:“治打扑伤、瘀血:鲜川续断捣烂外敷。”
❺ 《常用老年保健中药》:“治骨折、跌打损伤所致的腰痛或四肢肿痛:川续断9~15g。水煎服。”。

【医药家论述】:

❶ 倪朱谟《本草汇言》:“续断,补续血脉之药也。大抵所断之血脉非此不续,所伤之筋骨非此不养,所滞之关节非此不利,所损之胎孕非此不安,久服常服,能益气力,有补伤生血之效,补而不滞,行而不泄,故女科、外科取用恒多也。”
❷ 黄宫绣《本草求真》:“续断,实疏通气血筋骨第一药也。第因气薄而见精脱、胎动、溺血、失血等症,则又深忌,以性下流者故耳。功与地黄、牛膝、杜仲、巴戟相等,但有温补细微之别,不可不知。”
❸ 贾所学《药品化义》:“续断,苦养血脉,辛养皮毛,善理血脉伤损,接续筋骨断折,故名续断。外消乳痈、瘰疬,内清痔漏、肠红,以其气和味清,胎产调经,最为稳当。且苦能坚肾,辛能润肾,可疗小便频数,精滑梦遗,腰背酸疼,足膝无力,此皆肾经症也。若同紫菀用之,调血枯便闭,大能宣通血气而不走泄。


❹ 张德裕《本草正义》:“续断,其气温和,气味俱厚,故兼入气血,能宣行百脉,通利关节,凡经络筋骨血脉诸病,无不主之,而通痹起痿,尤有特长。又其味苦而涩,能行能止,则疗崩漏、带下、血痢、淋浊,而女科之胎产经带,奇经八脉诸病,及伤科踠闪跌仆诸证,外疡痈肿溃腐,支节酸痛,屈伸不利等病,类皆赖以成功,其效甚宏,其用颇广,加以功颇捷,而性又柔和,无燥烈刚暴之弊。

随便看

 

离鸟网收录3541549条中英文词条,其功能与新华字典、现代汉语词典、牛津高阶英汉词典等各类中英文词典类似,基本涵盖了全部常用中英文字词句的读音、释义及用法,是语言学习和写作的有利工具。

 

Copyright © 2004-2024 vtrois.com All Rights Reserved
更新时间:2026/4/18 13:41:33