网站首页  词典首页


请输入您要查询的字词:

 

字词 绝对值
类别 中英文字词句释义及详细解析
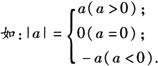
释义 绝对值

在数轴上,一个数所对应的点与原点的距离叫做该数的绝对值.正数的绝对值是它本身,负数的绝对值是它的相反数.0的绝对值是它本身0.

注意 前面一个是绝对值的几何定义,比较直观,易于理解,在几何问题中应用较方便;后一个是绝对值的代数定义,在代数问题中应用较广泛,它也可以用字母表示.

二者形式虽不一样,但本质完全相同

2.互为相反数的两个数,绝对值相等,如:2与-2互为相反数,但|2|=|-2|.

3.若两个数的绝对值相等,则这两个数相等或互为相反数.即:若|a|=|b|,则a=±b.

4.一个数的绝对值永远是一个非负数.即:|a|≥0.

5.如何去掉绝对值符号进行化简运算,关键是判断绝对值符号里面的代数式的正负.

例1 |-8|=__.

例2 |-2|=__.

例3 -7的绝对值是__

例4 |-9|-5=__.

例5 |-5|-3=__.

例6 若m、n互为相反数,则|m-1+n=__.

例7 |-2/3|的相反数是__

答 8,2,7,4,2,1,-2/3.

例8 若a<0,则7a+8|a|=__.

答 -a.

[解析] ∵a<0,

∴|a|=-a.

∴7a+8|a|=7a-8a=-a

例9 若-x>y>0,则|x+y|=__.

A.-x-y B.x+y

C.x-y D.y-x

答 A.

[解析] ∵-x>y>0,∴x+y<0.

∴|x+y|=-(x+y)=-x-y.

随便看

 

离鸟网收录3541549条中英文词条,其功能与新华字典、现代汉语词典、牛津高阶英汉词典等各类中英文词典类似,基本涵盖了全部常用中英文字词句的读音、释义及用法,是语言学习和写作的有利工具。

 

Copyright © 2004-2024 vtrois.com All Rights Reserved
更新时间:2026/4/19 13:00:45