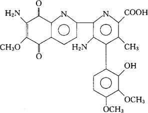
绛色霉素[中]
C25H22N4O8=506.47 CAS-3930-19-6 5-氨基-6-(7-氨基-5,8-二氢-6-甲氧-5,8-二氧代-2-喹啉基)-4-(2-羟-3,4-二甲氧苯基)-3-甲基吡啶甲酸。 5-Amino-6-(7-amino-5,8-dihydro-6-methoxy-5,8-dioxo-2-quinoyl)-4-(2-hydroxy-3,4-dimethoxyphenyl)-3-methylpicolinic acid. 抗肿瘤药。用于恶性淋巴瘤、急性淋巴细胞性白血病等。 链黑菌素,链黑霉素。 Streptonigrin,Bruneomycin,Rufocromomycin. INN,BAN,DCF,NFN,USAN,MI.  |