网站首页  词典首页


请输入您要查询的字词:

 

字词 结构设计要求和设计示例
类别 中英文字词句释义及详细解析
释义 结构设计要求和设计示例

为实现蜗形凸轮与滚子工作表面的正确啮合,结构设计应满足下列要求:

❶  机架(箱壳)轴孔以及有关零件的形位公差应保证蜗形凸轮轴线与滚子盘轴线间的确准相对位置。

❷  蜗形凸轮轴线应处在各滚子轴线所共的平面内。为此,滚子盘宜设计成可进行轴向位置调整的结构。

❸  蜗形凸轮的轴向位置也应能够调整,以便使滚子盘轴线位于凸轮定位环面的对称平面内。

❹  中心距也应可调,以便消除滚子与凸轮工作表面间的配合间隙并稍加预紧。

图5.12-3中,蜗形凸轮2的轴向位置用两端的螺母1调整;中心距由垫片3调整;滚子盘的轴向位置调整由轴承实现(图中未画出)。

1-螺母;2-蜗形凸轮:3-调整垫;4-滚子盘;5-滚子

蜗形凸轮与滚子的常用材料及热处理参见第六章表5.6-38。

例5.12-1 试设计一蜗形凸轮分度定位机构。已知:依照工艺要求,确定分度数为8,动停比为1/2;按设备的总体布置,确定中心距a为160mm。

按表5.12-1计算结构参数及尺寸如下:

❶  滚子数与分度数相等,故:z=8。

❷  滚子盘分度角:2Φ2=360°/z=360°/8=45°

❸  凸轮分度角:因已知k=0.5,故:

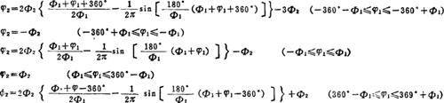
图5.12-8 的附表(°)

注:
❶  φ2的计算式:(正弦加速运动规律;Φ1=60°,Φ2=22.5°)

❷  φ1=±363°时,φ2≈±(2Φ2+θ)(已取θ=2°)。

❸  φ1的间隔依加工要求及条件而定,一般不大于(1°~0.1°)。

随便看

 

离鸟网收录3541549条中英文词条,其功能与新华字典、现代汉语词典、牛津高阶英汉词典等各类中英文词典类似,基本涵盖了全部常用中英文字词句的读音、释义及用法,是语言学习和写作的有利工具。

 

Copyright © 2004-2024 vtrois.com All Rights Reserved
更新时间:2026/4/19 23:28:47