网站首页  词典首页


请输入您要查询的字词:

 

字词 结构方程模型
类别 中英文字词句释义及详细解析
释义 结构方程模型

亦称“线性结构方程模型”。

协方差结构分析的一种。分析因果关系模型的多元统计方法。尤洛斯格等人20世纪70年代提出并逐步使之完善。路径分析、验证性因素分析是其特殊情形。

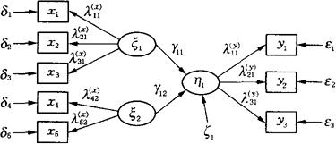
结构方程模型包含结构方程和测量方程两部分。如一项研究要分析“学习动机”(记为ξ1)和“学习强度”(记为ξ2)对“学业成绩”(记为η1)的影响,这三个变量都是不可观测的潜变量,需要由可观测的显变量进行测量。

设用三个变量X1,X2,X3测量“学习动机”(ξ1),用两个变量X4,X5测量“学习强度”(ξ2),用三门主要课程成绩Y1,Y2,Y3测量“学业成绩”(η1)。要研究的问题可用下面的路径图直观表示。

与路径图相应的结构方程模型如下(假设模型中的变量都是标准化变量,误差项除外):(1)结构方程η111ξ112ξ21;(2)测量方程X1=ξ11,Y1=η11,X2=ξ12,Y2=η12,X3=ξ13,Y3=η13,X4=ξ24,X5=ξ25,结构方程模型分析的主要任务是:(1)根据有关学科理论或经验提出因果关系结构,建立模型;(2)利用样本估计模型中的参数;(3)检验模型中的各种假设、估计模型对数据的拟合程度;(4)对最终得到的模型作出解释。结构方程模型作为一种比较复杂的统计模型,应用上需要专门的软件,最先发展和流行的结构方程模型软件是LISREL。最流行的软件有LISREL、EQS和AMOS。此外还有ProcCALIS、COSAN、LINCS、LISCOMP、MECOSA、Mx、PLS-PC/PLS.SAS/PLSGraph等。

随便看

 

离鸟网收录3541549条中英文词条,其功能与新华字典、现代汉语词典、牛津高阶英汉词典等各类中英文词典类似,基本涵盖了全部常用中英文字词句的读音、释义及用法,是语言学习和写作的有利工具。

 

Copyright © 2004-2024 vtrois.com All Rights Reserved
更新时间:2026/4/18 4:18:03