网站首页  词典首页


请输入您要查询的字词:

 

字词 结构影响指数
类别 中英文字词句释义及详细解析
释义 结构影响指数

其公式及计算如下(见表13-5):

可变构成指数、固定构成指数和结构影响指数的关系是:

可变构成指数=固定构成指数×结构影响指数

即:94.3%=108.6%×86.8%

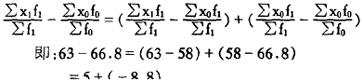
从绝对数看:

按表13-5计算结果表明,该厂报告期总平均工资下降了5.7%,减少了3.8元,这是一方面由于工人和学徒平均工资上升使职工平均工资增长8.6%(绝对数增加5元),而另一方面由于职工人数比重的变化又使职工平均工资下降了13.2%(绝对数减少了8.8元)的结果。从中可以清楚地分析出总平均数(职工平均工资)变动中各个因素的作用。

随便看

 

离鸟网收录3541549条中英文词条,其功能与新华字典、现代汉语词典、牛津高阶英汉词典等各类中英文词典类似,基本涵盖了全部常用中英文字词句的读音、释义及用法,是语言学习和写作的有利工具。

 

Copyright © 2004-2024 vtrois.com All Rights Reserved
更新时间:2026/4/19 15:40:44