网站首页  词典首页


请输入您要查询的字词:

 

字词 结晶罐的型式及主要尺寸的确定
类别 中英文字词句释义及详细解析
释义 结晶罐的型式及主要尺寸的确定

1.型式

汽室结构常用立管式,糖膏循环方式常用的是中央循环管的(图6-8,a),有通过汽室四周环形空间的(b)。它们的管板形状,有上下都水平的(c),有上下都倾斜的(d),也有上管板水平,下管板倾斜的。

1-汽室 2-汁汽室 3-捕汁器 4-进汽 5-进料 6一放膏 7一不凝结气 8一凝结水

汽室结构上的另一种型式是卷板式(e),它们的糖膏循环方式和管板形状同立管式;由于制造和维修较复杂等原因,已较少采用。

从罐体形状上看:常用直径不变的直立圆筒形罐体,也有上粗下细的“低压头”式直立圆筒形罐体(f)。

2.主要尺寸的确定

(1)起晶容积 指起晶前(或抽入种子糖糊时)糖浆或糖蜜(或糖糊)刚好盖过全部加热面时占有的净容积,它对提糖程度起著主要作用。此容积尽可能小一些好,一般不超过总有效容积的30~35%。对于绵糖膏结晶罐可稍大些(因晶粒要求小),约40%左右。

为此,需尽量减小罐底无效空间,并把加热面安排得尽量紧凑些。

(2)加热管 目前普遍采用无缝钢管,从防腐的角度看,用黄铜管较好。管长一般为0.9~1.2米,最长不宜超过1.3米。加热管径目前属于国标而又适用的有三种,见表6-13。

表6-13 加热管径

管中心距,与管外径(d)有关,可取为

1.05d+10(毫米)

管子在管板上尽可能按正三角形排列。

(3)罐体高度 糖膏放罐前的最高液面,应在罐顶捕汁器(或其伞形挡板)的1.0米以下,最好在此最高液面处安装视镜,使最高液面正好位于视镜中心。汽室上管板上面糖膏最大高度最好不超过1.5米,对于较大容积结晶罐,最高不超过2.0米。装有机械搅拌装置时,可高至2.4米。

包括下锥体在内的罐体高度(捕汁器在外),一般不超过5·5~6.0米。

(4)罐底角度(与水平面所成夹角) 一般可取25~30°;对于较大直径结晶罐,可取为22°,最小不宜小于20°。

锥形汽室下锥形管板与水平面所成角度,可比罐底角度小3°。

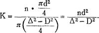
(5)中央循环管内径 根据推证,为保证糖膏循环阻力最小,中央循环管内径(D),与加热管内径(d)和汽室处罐内径(△)有关:

式中 P=d/△

n为加热管根数,K为加热管内截面积总和同管板总面积(不包括中央循环管)之比,通常约为0.5。

实际决定循环管内径时,须把m稍加大,用M表示,

于是,循环管内径为:

D=M·△

已知K和P后,M可由表6-14中查得。

表6-14 循环管内径

从表中看出,循环管内径对汽室处罐内径之比不宜超过40%。

另一个办法是由全部加热管总截面积与循环管截面的比值(φ)(循环比)来决定:

φ可取为2~3,宜取为2。当φ=2时:

随便看

 

离鸟网收录3541549条中英文词条,其功能与新华字典、现代汉语词典、牛津高阶英汉词典等各类中英文词典类似,基本涵盖了全部常用中英文字词句的读音、释义及用法,是语言学习和写作的有利工具。

 

Copyright © 2004-2024 vtrois.com All Rights Reserved
更新时间:2026/4/18 11:51:25