网站首页  词典首页


请输入您要查询的字词:

 

字词 结晶罐加热面积的确定和传热系数
类别 中英文字词句释义及详细解析
释义 结晶罐加热面积的确定和传热系数

1.加热面积的确定

每米3有效容积具有的加热面积(米2)是结晶罐应具备的主要条件之一,它与使用的汁汽压力有关,可选用下列数值:

表6-16 结晶罐加热面积与汁汽压力的关系

2.加热面积的计算

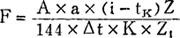
式中 F——所需加热面积(米2)

A——甜菜加工量(吨/日)

a——煮糖消耗的汁汽量(%对甜菜)

i——汁汽的热含量(千卡/公斤)

tK——凝结水温度(℃)

Z——全循环煮糖时间(分)

△t——有效温度差,即加热用汁汽温度与罐内沸腾温度之差(℃)

K——传热系数(千卡/米2·时·℃)

Z1——每罐的有效作业时间

3.结晶罐的传热系数(K)

因糖膏质量、设备条件等不同而有所不同,表6-17提供各种糖膏的参考数据。

表6-17 结晶罐的传热系数(千卡/米2·时·℃)

上述数据系一个煮糖周期中的平均值,煮糖初期及末期有很大的不同,见表6-18。

表6-18 结晶罐煮糖初期和末期的传热系数

随便看

 

离鸟网收录3541549条中英文词条,其功能与新华字典、现代汉语词典、牛津高阶英汉词典等各类中英文词典类似,基本涵盖了全部常用中英文字词句的读音、释义及用法,是语言学习和写作的有利工具。

 

Copyright © 2004-2024 vtrois.com All Rights Reserved
更新时间:2026/4/18 8:57:18