网站首页  词典首页


请输入您要查询的字词:

 

字词 经济订购批量
类别 中英文字词句释义及详细解析
释义 经济订购批量

经济订购批量(EOQ)是最经济的一次订购的数量。

它是从经济原则综合考虑订购费用、存储费用等各方面支出,寻求总费用最低的一次订购数量。

经济订购批量的原理如图4-4-8所示。

从图4-4-8可知存储费用随批量增加而增加,订购费用与订购次数成正比,因此就与每次订购批量成反比。

总费用曲线最低点所对应的批量即为经济订购批量。

经济订购批量的计算由于存储模型的不同而略有不同,下面介绍两种存储模型。

(1)等量消耗、瞬时补充模型。

该模型示意图如图4-4-9所示。

等量消耗是指在供应间隔期内,每一单位时间的消耗量都相等。

瞬时补充是指全批物料是一次进库的。

设全年物料需要量为D,每次订购批量为Q,每次订购费用为A,单位物料价格为P,物料年储存费用率为I,则物料订购费用为·A,物料年存储费用力·P·I,总费用(TC)为:

有时物料的供应不是整批物料一次全数到达,而是分批陆续到达。

在这一段供应时间内企业处于边消耗、边补充的状态。当整批物料全部到达后,企业处于只消耗不补充状态。

这两种状态交替出现,形成边消耗、边补充的库存模型。图中Q表示订购量,Q′表示实际最大存储量。

设:S为单位时间物料供应量(供货速率)

d为单位时间物料消耗量(消耗速率)

则:S-d为库存模型建立速率

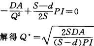
于是:此时平均库存量不是,而是

对上式求偏导,并令,可得:

上述计算的经济批量为理论值,实际工作中需根据具体情况如车辆装载量、容器容量等取整数进行调整。

随便看

 

离鸟网收录3541549条中英文词条,其功能与新华字典、现代汉语词典、牛津高阶英汉词典等各类中英文词典类似,基本涵盖了全部常用中英文字词句的读音、释义及用法,是语言学习和写作的有利工具。

 

Copyright © 2004-2024 vtrois.com All Rights Reserved
更新时间:2026/4/21 18:24:00