网站首页  词典首页


请输入您要查询的字词:

 

字词 经济增长的统计测定
类别 中英文字词句释义及详细解析
释义 经济增长的统计测定

现代经济学对经济增长概念有不同的理解:一是认为经济增长是指一国或一地区内,与商品和劳务的生产增长相结合的生产能力的增长。

由于客观上存在生产能力是否被充分利用的问题,因而这一理解实质上是潜在的经济增长。二是认为经济增长是指一国或一地区实际经济产量在时间上的增长或增加,也即生产能力的增长最终应当体现为生产产品和提供劳务的实际产量的增长。

这一理解是指实际的经济增长。世界上大多数国家计算与分析的经济增长,是指实际经济产量的增长。

按照经济增长的含义,一般采用国民生产总值作为衡量经济产品和劳务的总量指标。由于按当年实际价格计算的国民生产总值的增长受到产品、劳务数量增长与产品、劳务价格上涨的双重影响。

因此,要把价格变动因素从国民生产总值变动中加以剔除,采用可比价格计算的国民生产总值作为经济的产量指标,才能使对比的历年国民生产总值的变动仅仅反映其产量的变动。

测定经济增长程度的统计指标通常有:增长率与平均增长率两种。

经济增长率是指不同时期产品和劳务数量对比增长的速度。其计算公式为:

如果须反映某一固定时期以来各期总的增长状况,可以计算定基增长率;如果需要研究各个时期间逐期增长状况,则可计算环比增长率。

在具备国民生产总值价格指数的情况下,可以利用当年实际价格计算的国民生产总值动态指数,来推算经济增长率,即

在一个较长的时期内,各年经济增长的程度是会有差异的,因此,当采用其中某一年的增长率进行纵向对比或横向对比,往往不能说明经济增长变动的实际状况。为了便于对比分析,通常要计算某一段较长时期内的平均经济增长率指标,以反映这一时期内增长程度的一般趋势。

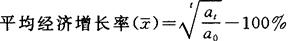
计算平均经济增长率通常采用几何平均的计算方法,其计算公式为:

式中,a0、at分别为按可比价格计算的基期、报告期的国民生产总值,t为间隔的时期数。

在现实经济生活中,经济增长变动是在经济周期中进行的。如果增长的周期波动是均匀的,即周期的长度、振幅及各阶段时间分布基本一致,at、a0数值正好共处在周期的峰点(at1、a01)或共处在周期的谷点(at2、a02),那么,计算的平均经济增长率是实际增长状况的恰当反映;如果at、a0数值处于周期的峰点与谷点或谷点与峰点,那么计算的平均经济增长率就可能被严重歪曲。因此,在计算平均经济增长率时,选定的报告期与基期应当处于经济周期的相似阶段。

随便看

 

离鸟网收录3541549条中英文词条,其功能与新华字典、现代汉语词典、牛津高阶英汉词典等各类中英文词典类似,基本涵盖了全部常用中英文字词句的读音、释义及用法,是语言学习和写作的有利工具。

 

Copyright © 2004-2024 vtrois.com All Rights Reserved
更新时间:2026/4/18 8:26:56