网站首页  词典首页


请输入您要查询的字词:

 

字词 织物疵点标准细则
类别 中英文字词句释义及详细解析
释义 织物疵点标准细则

目前国际上还不存在有法律效力的织疵或其他疵点的分类规定,但欧美各国的工厂,其织物的质量标准大多以美国南卡罗来纳州格兰尼特维尔公司的《纺织工业织物外观疵点标准》以及瑞士S、G、S公证机构关于疵点的规定为准,现一并收集于下供参考应用。

1.瑞士S、G、S公证机构对本色阔幅棉布提出两类疵点规定:(1)主要疵点:(i)双经双纬;(ii)节纱;(iii)杂物织入;(iv)刮痕;(v)大结头;(vi)断经断纬;(vii)洗痕;(viii)大于5厘米的拖纱;(ix)纬缩;(x)轧梭;(xi)稀密路;(xii)横档;(xiii)跳纱;(xiv)破洞;(xv)松经;(xvi)蛛网;(xvii)纱头印痕;(xviii)破边。(2)次要疵点:(i)筘穿错;(ii)小于5厘米的拖纱;(iii)飞花;(iv)油污经油污纬;(v)小结头;(vi)棉结;(vii)小斑点;(viii)小断经断纬。上述疵点项目是不全的,凡是未列入主要疵点者都可看作次要疵点。

买主可以建议每疋或100码坯布的容许疵点数,一般常规为每100码10个疵点,一个次要疵点作1/2疵点计算。

2.美国格兰尼特维尔公司的织物外观疵点标准如下:

(1)疵点分为主要疵点和次要疵点,其定义为:(i)主要疵点是可以使最终产品定为次品的一个严重的疵点;(ii)次要疵点是可能或不能造成次品的一个疵点。

(2)疵点类型的分类:划分类型的方法是以疵点相似的外观对目感的质量。及对织物的可用性影响为基础的,这种分类法则有益于简化检查报告,也可提供有益情报,它共分6类:(i)一种狭窄的细长条或连续性经向疵点,有很长的特征;(ii)一种狭窄或全幅性线状纬向疵点;(iii)带状通长或经向疵点;(iv)带状全幅或纬向疵点;(v)分散性疵点:一般较小如竹节纱棉球等;(vi)一般性疵点如污渍、条痕、一般不均等。

(3)疵点的“点值”确定:(i)检查:对机织物进行全幅性检查,但只检查正面,所有疵点应在常规检查距离之内进行目测计值;(ii)疵点分类:疵点按细则规定分为主要和次要两类;(iii)“点值”计算:主要疵点每9英寸(22.86cm)增量为一点或几分之一;次要疵点每9英寸增量为1/4点或几分之一。

(iv)每码(0.9144米)最大点值:经向每码(将织物的幅宽用9英寸(22.86cm)为基本单位化为整数),每平码(每9英寸配1点值,这样每平方码最大点值为4)。

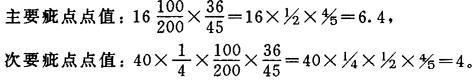
(v)检查结果计算得出每100平方码(83.61米2)的点值:例如幅宽45英寸(114.3cm)的200码(182.88米)织物内有16个主要疵点与40个次要疵点,则:

(vi)英制与公制点值的计算:点值/100平方码×1.196=点值/100米2

随便看

 

离鸟网收录3541549条中英文词条,其功能与新华字典、现代汉语词典、牛津高阶英汉词典等各类中英文词典类似,基本涵盖了全部常用中英文字词句的读音、释义及用法,是语言学习和写作的有利工具。

 

Copyright © 2004-2024 vtrois.com All Rights Reserved
更新时间:2026/4/18 13:18:06