网站首页  词典首页


请输入您要查询的字词:

 

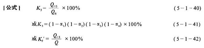
字词 细浆得率的计算
类别 中英文字词句释义及详细解析
释义 细浆得率的计算

[说明]指蒸煮后的粗浆,经洗涤、筛选除渣之后所得的细浆量占蒸煮前原料重量或蒸煮后粗浆量的百分比。

式中 K3、K3——分别为细浆对粗浆、蒸煮原料的得率(%)

Q13——细浆量(kg)

Q——同式5-1-36

[讨论]式5—1—40反映蒸煮、洗涤过程浆料的质量和产量情况;式5-1-42反映蒸煮后粗浆经洗选等后纸浆的产质量。要求在保证浆的质量的情况下该值以大为好。

[例]某厂甲班每小时生产未漂细浆100m3,浆浓5%,纸浆容重50.6kg/m3,洗选排渣和流失总量186.95kg(绝干),粗浆量5192.95kg(绝干),粗浆得率46%,求:
❶ 以粗浆为基准的细浆得率;
❷ 以蒸煮原料为基准的细浆得率;
❸ 洗选排渣流失率。

随便看

 

离鸟网收录3541549条中英文词条,其功能与新华字典、现代汉语词典、牛津高阶英汉词典等各类中英文词典类似,基本涵盖了全部常用中英文字词句的读音、释义及用法,是语言学习和写作的有利工具。

 

Copyright © 2004-2024 vtrois.com All Rights Reserved
更新时间:2026/4/17 23:15:11