网站首页  词典首页


请输入您要查询的字词:

 

字词 线段的定比分点公式
类别 中英文字词句释义及详细解析
释义 线段的定比分点公式

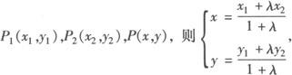
设点P分有向线段所成的比为λ,即,并且

这就是有向线段的定比分点坐标公式.

特别地,当P是是中点时,有

A、B、C的坐标为:

A(x1,y1),B(x2,y2),C(x3,y3)重心为G(xG,yG).

随便看

 

离鸟网收录3541549条中英文词条,其功能与新华字典、现代汉语词典、牛津高阶英汉词典等各类中英文词典类似,基本涵盖了全部常用中英文字词句的读音、释义及用法,是语言学习和写作的有利工具。

 

Copyright © 2004-2024 vtrois.com All Rights Reserved
更新时间:2026/4/17 16:21:28