网站首页  词典首页


请输入您要查询的字词:

 

字词 线性规划数学模型
类别 中英文字词句释义及详细解析
释义 线性规划数学模型

线性规划是《运筹学》中的一个主要分支,在经济管理中已得到了广泛的应用。

在企业的生产经营活动中,可以用来解决下面一些问题:有限资源的合理利用;制定最优的生产计划;原材料的合理下料;物资运输最优调配;机床负荷的安排;作业排序;厂址选择及工厂布局;生产任务的分配与工作安排等等。

用线性规划解决企业管理中的问题的步骤大致如下:

(1)把企业生产经营活动中的具体问题,抽象成一组数学方程,建立数学模型。

(2)对统计数据和资料(包括经济和技术的)进行处理,为线性规划模型提供必需的和可靠的原始数据。

(3)采用一定的方法求出问题的最优解,作为生产经营管理的依据。

(4)监督和控制最优方案的实施。

(5)对最优方案进行灵敏性分析,考虑到原问题中的一切条件(指各种由统计资料得到的参数),受外界干扰而发生变化,当这种变化超出一定范围而影响方案的最优解时,及时采取措施调整方案。

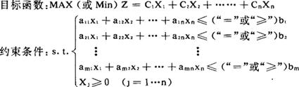
具有下述形式的模型称为线性规划数学模型:

模型中:Xj表示结构变量(或决策变量);Cj表示目标函数系数;b1表示资源数(或右边常数);aij表示技术系数,表示单位j产品对第i种资源的消耗量。

通常,把极大化目标,所有约束均为“≤”的模型称为线性规划模型的一般形式(或典型形式)。

典型形式的和式表达式:

典型形式的矩阵表达式:

例:某厂生产甲、乙两种产品,主要消耗煤、电力、人工三种资源。

甲产品每吨产值7万元,乙产品每吨产值12万元。生产每种产品一吨,对以上三种资源的需用数量如下表所示。

现有煤360吨,电力200千瓦小时,人工300人日。

问该厂如何安排生产,使产值最大?

设生产甲产品X1吨,乙产品X2吨,则可建立使产值最大的线性规划数学模型:

随便看

 

离鸟网收录3541549条中英文词条,其功能与新华字典、现代汉语词典、牛津高阶英汉词典等各类中英文词典类似,基本涵盖了全部常用中英文字词句的读音、释义及用法,是语言学习和写作的有利工具。

 

Copyright © 2004-2024 vtrois.com All Rights Reserved
更新时间:2026/4/19 19:48:57