网站首页  词典首页


请输入您要查询的字词:

 

字词 线性规划
类别 中英文字词句释义及详细解析
释义 线性规划

若干个线性等式(或不等式)的约束下求一个线性函数极值的问题。

线性规划模型的标准形式为:

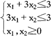
例:用图解法求解线性规划问题。

maxZ=x1+2x2

图中两条实线分别是x1+3x2=3和3x1+x2=3,可以看出原问题的可行区域是由这两条直线及坐标轴围成的部分。

虚线是令Z取常数时的目标直线,图中画了三条,分别是当Z=1,Z=9/4,Z=4时的直线,可以看到通过两条直线交点的目标函数直线既经过了可行域,又没有比它更高的直线了,因此Z=9/4就是最优值,而交点(3/4,3/4)是最优解。

随便看

 

离鸟网收录3541549条中英文词条,其功能与新华字典、现代汉语词典、牛津高阶英汉词典等各类中英文词典类似,基本涵盖了全部常用中英文字词句的读音、释义及用法,是语言学习和写作的有利工具。

 

Copyright © 2004-2024 vtrois.com All Rights Reserved
更新时间:2026/4/18 19:25:14