网站首页  词典首页


请输入您要查询的字词:

 

字词 线性概率模型
类别 中英文字词句释义及详细解析
释义 线性概率模型

考虑线性回归模型yi=xiβ+εi,其中yi=1的概率为Pi,yi=0的概率为1-Pi

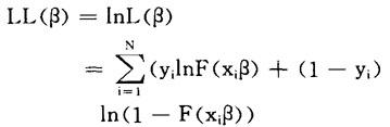
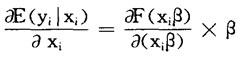
很清楚xi解释了yi=1或0的概率。让Pi=P(yi=1 |xi)=F(xiβ),1-Pi=P(yi=0|xi)=1-F(xiβ)。易见E(yi|xi)=1×F(xiβ)+0×(1-F(xiβ))=F(xiβ)。若F(xiβ)=xiβ,则称该线性回归模型为线性概率模型。

此时解释变量对被解释变量的边际影响为:

注意,该模型的随机干扰项εi的均值为零,E(εi)=(1-xiβ)F(xiβ)-(xiβ)(1-F(xiβ))=F(xiβ)-xiβ=0,Var(εi)=(1-xiβ)2F(xiβ)+(-xiβ2)(1-F(xiβ))=(1-Xiβ)(xiβ)

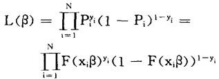
给定N个独立观测值的样本,似然函数为

则对数似然函数为:

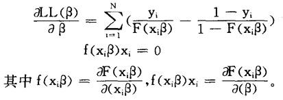
参数估计β就是最大化LL(β)的解,我们解一阶条件

最后,海赛(Hessian)矩阵#必须为负定。参数估计量的协方差阵为V#。

随便看

 

离鸟网收录3541549条中英文词条,其功能与新华字典、现代汉语词典、牛津高阶英汉词典等各类中英文词典类似,基本涵盖了全部常用中英文字词句的读音、释义及用法,是语言学习和写作的有利工具。

 

Copyright © 2004-2024 vtrois.com All Rights Reserved
更新时间:2026/4/18 0:00:30