网站首页  词典首页


请输入您要查询的字词:

 

字词 线性支出系统
类别 中英文字词句释义及详细解析
释义 线性支出系统

英国经济学家斯通所提出的一种关于消费支出的经济模型。

该模型中的消费函数都是线性函数,故得名。具体模型如下:

i=1,2,3,…。

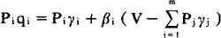
在上式中,V是消费总支出,包括商品支出和服务支出,共分成m个类别;Pi是第i类商品或服务的价格;qi是对第i类商品或服务的消费量;γi是对第i类商品或服务的基本消费需求量,可以看作是既定时期和既定的社会条件下满足生存需求的最低限额;Piγi是对第i类商品或服务的基本消费需求支出额,i(i可用j代换)就

是全部基本消费需求支出总额;是总支出中扣除基本消费需求支出总额后余下的消费支出,叫作剩余支出。

它将按照βi(i=1,2,3,…,m)的份额分别追加到各分类消费中。

βi就叫做第i类消费的预算份额。显然有:

Piqi是对第i类消费需求的支出额,等于基本消费需求额piγi与追加额βi(V-∑Pjγj)之和。。这一系统把分类消费支出piqi看作总支出和价格的函数,γi和βi(i=1,2,…,m)是待估计的参数。

这个模型在西方经济学界得到广泛应用,但如果缺少价格资料则无法估计出参数,这是该模型的一大缺点。

〔参〕 扩展的线性支出系统

随便看

 

离鸟网收录3541549条中英文词条,其功能与新华字典、现代汉语词典、牛津高阶英汉词典等各类中英文词典类似,基本涵盖了全部常用中英文字词句的读音、释义及用法,是语言学习和写作的有利工具。

 

Copyright © 2004-2024 vtrois.com All Rights Reserved
更新时间:2026/4/18 16:34:35