网站首页  词典首页


请输入您要查询的字词:

 

字词 线、圆棒、角形棒的弯曲
类别 中英文字词句释义及详细解析
释义 线、圆棒、角形棒的弯曲

线材、圆棒、角形棒等的实心断面的最小弯曲半径,仍然受拉伸部分弯曲外侧的延伸性所限制。弯曲的界限,因为将引起对超过材料延伸限度部分的损伤,所以如在延伸界限的范围内,就能进行平滑的弯曲。如沿著工具的形状进行弯曲,也能防止把形状搞坏。实际使用的弯曲半径,示于表6。

表6 铝合金线材、棒材的实用弯曲半径(内径)

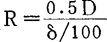
另外,圆棒的最小弯曲半径,根据加工方法或润滑状态,是有相当变化的。但是,假定中立轴对准断面中心时,使圆棒外边的变形量正好达到材料的延伸率时的弯曲半径,可视为最小的弯曲半径,那么下式可成立。

式中 R——中立轴的最小弯曲半径,毫米。

D——圆棒的外径,毫米。

δ——材料的延伸率,%。

随便看

 

离鸟网收录3541549条中英文词条,其功能与新华字典、现代汉语词典、牛津高阶英汉词典等各类中英文词典类似,基本涵盖了全部常用中英文字词句的读音、释义及用法,是语言学习和写作的有利工具。

 

Copyright © 2004-2024 vtrois.com All Rights Reserved
更新时间:2026/4/18 2:34:47