网站首页  词典首页


请输入您要查询的字词:

 

字词 纸粕辊运行时产生的热量计算
类别 中英文字词句释义及详细解析
释义 纸粕辊运行时产生的热量计算

【说明】 纸粕辊在运行过程中,纸粕层内部要积存一定的能量,这个能量转变成热量,就使辊筒温度升高,这种内部产生的热量给纸粕辊的维护、保养和使用都会带来不利。因此,对纸粕辊耐热性提出了较高的要求。纸粕辊运行时产生的热量以纸粕辊单位长度积存的能量表示。

【公式】

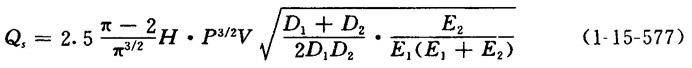
式中 Qs——纸粕辊单位长度积存的能量〔J/(s·m)〕

H——纸粕辊纸粕层的滞后系数

P——剪断压力(Pa)

D1、D2——相邻二辊的直径(m)

E1——纸粕辊的纸粕层的杨氏模量(Pa)

E2——纸粕辊轴芯的杨氏模量(Pa)

V——纸粕辊的工作速度(m/s)

随便看

 

离鸟网收录3541549条中英文词条,其功能与新华字典、现代汉语词典、牛津高阶英汉词典等各类中英文词典类似,基本涵盖了全部常用中英文字词句的读音、释义及用法,是语言学习和写作的有利工具。

 

Copyright © 2004-2024 vtrois.com All Rights Reserved
更新时间:2026/4/17 21:47:28