网站首页  词典首页


请输入您要查询的字词:

 

字词 纸浆洗净度的有关计算
类别 中英文字词句释义及详细解析
释义 纸浆洗净度的有关计算

(一)洗净度的计算

【说明】 洗净度表示纸浆洗净的程度。其表示方法有三种:
❶ 以洗涤后随纸浆所带走的清液中的残碱含量(Na2Og/L)表示;
❷ 以洗后每吨风干浆所带走的残碱量(Na2Okg/t浆)表示;
❸ 以洗后纸浆消耗KMnO4的量表示(用于酸法制浆)。

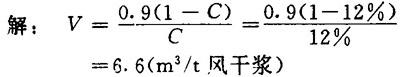
(二)由纸浆浓度计算残液量

【公式】

式中 V——每吨风干浆带走的残液量(m3/t风干浆)

C——洗后纸浆浓度(%)

【例1】 某厂洗后纸浆浓度为12%,求每吨风干浆带走的残液量。

(三)残碱浓度的计算

【公式】

式中 L——洗后浆所带走的残碱浓度(g/L)

G——每吨风干浆带走残碱量(kg/t风干浆)

V——每吨风干浆带走的残液量(m3/t风干浆)

【例2】 在例1中,每吨风干浆带走残碱为1kg/t风干浆,计算残碱浓度。

(四)碱法浆残碱洗净度的表示方法及相互间的换算

【说明】 碱法浆洗净度的表示方法有两种。

1.以洗后每吨风干浆中所含残碱量表示

【公式】

式中 P1——洗净度[kg(Na2O)/t风干浆],对木浆一般要求洗净度为1左右

W1——残碱含量(kg)

G——洗后风干浆量(t)

2.以洗后纸浆所带残液中的残碱含量表示

【公式】

式中 P2——洗净度[g(Na2O)/L]

W2——每吨风干浆中的残碱含量(g)

Q——每吨风干浆所带废液量(1/t风干浆)

3.P1、P2间的相互换算

【公式】

式中符号含义及单位同上

【例3】 某厂洗后纸浆浓度为12%,每吨风干浆带走残碱为1kg/t风干浆,求纸浆所带废液中的残碱含量?

随便看

 

离鸟网收录3541549条中英文词条,其功能与新华字典、现代汉语词典、牛津高阶英汉词典等各类中英文词典类似,基本涵盖了全部常用中英文字词句的读音、释义及用法,是语言学习和写作的有利工具。

 

Copyright © 2004-2024 vtrois.com All Rights Reserved
更新时间:2026/4/21 4:59:35