网站首页  词典首页


请输入您要查询的字词:

 

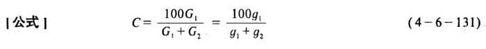
字词 纸浆及液体浓度的计算
类别 中英文字词句释义及详细解析
释义 纸浆及液体浓度的计算

式中 C——物质浓度(%)

G1——所求体积中物质重量(kg)

G2——所求体积中介质重量(kg)

g1——物质的重量流量(kg/h)

g2——介质的重量流量(kg/h)

随便看

 

离鸟网收录3541549条中英文词条,其功能与新华字典、现代汉语词典、牛津高阶英汉词典等各类中英文词典类似,基本涵盖了全部常用中英文字词句的读音、释义及用法,是语言学习和写作的有利工具。

 

Copyright © 2004-2024 vtrois.com All Rights Reserved
更新时间:2026/4/18 1:07:36