网站首页  词典首页


请输入您要查询的字词:

 

字词 纸机烘缸的温度自动调节特性方程
类别 中英文字词句释义及详细解析
释义 纸机烘缸的温度自动调节特性方程

[说明]参见图4-6-11

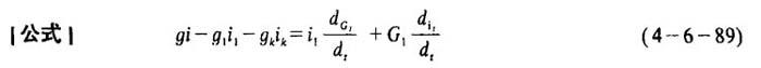
1.蒸汽相的平衡方程式

❶ 物料平衡方程式

式中 g、g1——烘缸进出口的蒸汽流量(kg/h)

gk——单位时间内烘缸内形成的冷凝水量(kg/h)

G1——烘缸内蒸汽量(kg)

t——时间(h)

❷ 热平衡方程式

式中 i、i1——烘缸进口及烘缸内蒸汽热焓(kJ/kg)

ik——饱和线上冷凝水的热焓(kJ/kg)

C——冷凝水的热容[kJ/(kg·℃)]

θi——饱和蒸汽温度(℃)

γ——蒸汽潜热(kJ/kg)

2.液相的平衡方程

❶ 物料平衡方程式

式中 gki——经过虹吸管的冷凝水流量(kg/h)

Gk——烘缸内冷凝水重量(kg)

其它同上

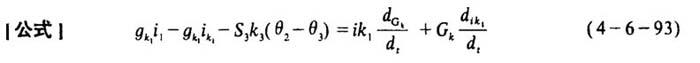
❷ 热平衡方程式

式中 ik1——冷凝水的平均热焓(kJ/kg)

θ2——液相和水垢分界面上的温度(℃)

θ3——缸壁和水垢分界面上的温度(℃)

S3k32-θ3)——穿过水垢层向缸壁的热流强度(kJ/h)

S3——冷凝水的冷却表面积(m2)

K3——穿过水垢层的传热系数[kJ/(m2·h·℃)]

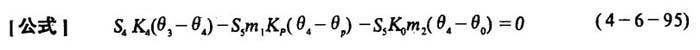
3.缸壁的平衡方程式

❶ 热平衡方程式

式中 S4、S5——冷却内外表面积(m2)

m1、m2——由烘缸表面与纸页接触和与空气接触所决定的系数

Kp、K0——烘缸到纸页和烘缸到周围空气的传热系数[kJ/(m2·h·℃)]

θp、θ0——纸页和周围空气的温度(℃)

θ3、θ4——烘缸内外表面的温度(℃)

G3——缸壁重量(kg)

i3——缸壁热焓(kJ/kg)

❷ 缸壁和周围空气问的传热方程式

式中 K4——穿过缸壁的传热系数[kJ/(m2·h·℃)]

其它同上

4.冷凝水的平均热焓和缸壁的平均热焓

式中 i3——缸壁的平均热焓(kJ/kg)

C——冷凝水的热容[kJ/(kg·℃)]

C3——缸壁的热容(比热)[kJ/(kg·℃)]

其它同上

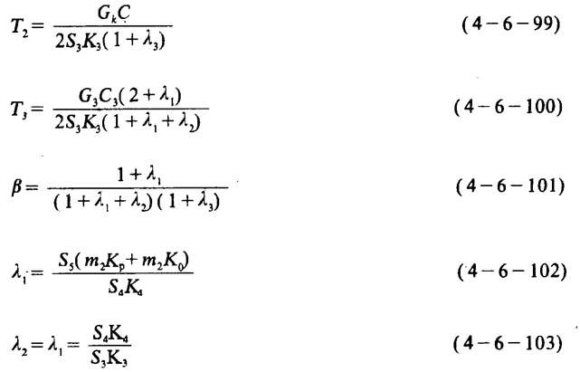
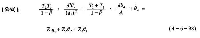
5.烘缸温度调节的特性方程

❶ 特性方程式

式中各符号计算如下:

其它同上

[讨论]式4-6-98表明,烘缸是双容调节对象。

❷ 无量纲式

其它符号含义及单位均同上

随便看

 

离鸟网收录3541549条中英文词条,其功能与新华字典、现代汉语词典、牛津高阶英汉词典等各类中英文词典类似,基本涵盖了全部常用中英文字词句的读音、释义及用法,是语言学习和写作的有利工具。

 

Copyright © 2004-2024 vtrois.com All Rights Reserved
更新时间:2026/4/18 1:18:26