网站首页  词典首页


请输入您要查询的字词:

 

字词 纸机平均车速的计算
类别 中英文字词句释义及详细解析
释义 纸机平均车速的计算

【说明】 纸机平均车速指平均每分钟运行的速度,可用以下两种方法计算。

1.测算法

【说明】 指通过测定造纸机最后一个烘缸的线速度来表示的方法。

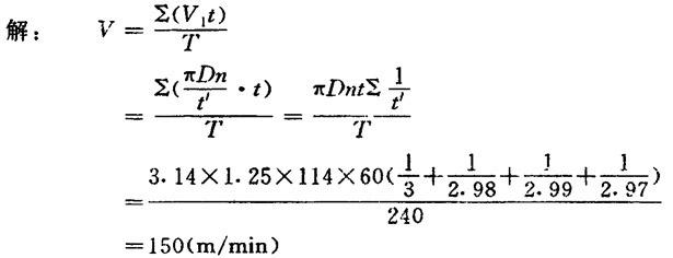
【公式】

式中 V——平均车速(m/min)

V1——最后一个烘缸的线速度(m/min)

t——两次测定的间隔时间(min)

T——作业时间(min)

【例】 某纸机测定最后一个烘缸的线速四次,每次测定的相隔时间为60min.烘缸转速为114r/min。每次测定时间为3、2.98、2.99及2.97min,作业时间共240min,烘缸直径1.25m,计算该纸机的平均抄速是多少?

2.用抄造量进行推算

【公式】

式中 V——平均车速(m/min)

G——纸机的实际抄造量(kg)

Bm——抄宽(m)

q——定量(g/m2)

G1——抄造损失量(kg),见式1-15-609

T——作业时间(min)

随便看

 

离鸟网收录3541549条中英文词条,其功能与新华字典、现代汉语词典、牛津高阶英汉词典等各类中英文词典类似,基本涵盖了全部常用中英文字词句的读音、释义及用法,是语言学习和写作的有利工具。

 

Copyright © 2004-2024 vtrois.com All Rights Reserved
更新时间:2026/4/18 15:41:11