网站首页  词典首页


请输入您要查询的字词:

 

字词 纸机局部与总体速度不同步的原因及调整计算实例
类别 中英文字词句释义及详细解析
释义 纸机局部与总体速度不同步的原因及调整计算实例

【例】 某厂一纸机生产牛皮卡纸,发现纸页的速度与压光机的速度不同步,压光机的可控硅无级调速只能补偿10个传动比,调到极限仍断纸,生产被中断。试分析其原因并对其进行同步调整计算。

解:
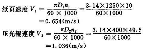
❶ 原因分析计算

首先测量纸页和压光辊速度。测得数据,烘缸转速n1=10r/min,供缸直径D1=1250mm,压光辊转速n2=49.5r/min,压光辊直径D2=400mm。

故V2>V1,纸页必然被拉断。

❷ 同步调整计算

a.求不断纸传动比并验证可控硅调速电机无法补偿速度差

不断纸的条件:降低压光辊的速度,使其与纸页的速度相等。

令V2′=V1(V2′为不断头时压光辊的速度)即:

原减速机速比i=23.34

速比差△=i′1-i1=38.41-23.34

=15.07>10

所以,调速电机无法补偿。

b.同步调整计算

调整的方法是改动原减速机中一对齿轮。

原减速机速比为:

为便于加工,更换模数小的那一组,即将81/18改为88/11,改后的传动比i2为:

改后传动比i2与不断头速比i2之差为:

i′=i2-i1′=41.5-38.41

=3.09<10

即在可控硅调速电机范围内,可使压光辊速度调到与纸页的速度相等。

随便看

 

离鸟网收录3541549条中英文词条,其功能与新华字典、现代汉语词典、牛津高阶英汉词典等各类中英文词典类似,基本涵盖了全部常用中英文字词句的读音、释义及用法,是语言学习和写作的有利工具。

 

Copyright © 2004-2024 vtrois.com All Rights Reserved
更新时间:2026/4/18 21:52:30