纸张表面施胶挂胶量的测定计算
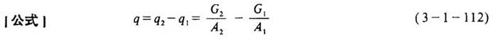
[说明]纸页通过表面施胶后覆上的胶料,通常叫纸张表面施胶挂胶量,其大小取决于胶液浓度、纸机车速、纸张性能等。 1.重施胶的纸张挂胶量测定计算 [说明]该法是利用纸张定量的变化来测定挂胶量大小的。 [测定方法]在纸机表面施胶槽之前取一份纸样,测出其面积,放入105±3℃烘箱内,烘干至恒重。在表面施胶后取一份试样,用同样方法测定其绝干定量。  式中 q-挂胶量(g/m2) q1、q2-分别为施胶前后纸张绝干定量(g/m2) A1、A2-分别为施胶前后试样面积(m2) G1G2-分别为施胶前后试样绝干重量(g) [注意]挂胶量也可用百分含量表示:  式中符号含义及单位同上 2.轻施胶纸张表面挂胶量的测定计算 [说明]测定表面施胶前后纸张的水分及胶液浓度即可。该法比较简单、准确,因而被广泛采用。  式中 q-纸张表面挂胶量(%) W1-施胶前纸张水分(%) W2-施胶后纸张水分(%) C-胶液浓度(%) |