网站首页  词典首页


请输入您要查询的字词:

 

字词 纸中填料留著率的测定计算
类别 中英文字词句释义及详细解析
释义 纸中填料留著率的测定计算

[测定方法1分别称取纯纤维100g、加填后浆3g(绝干)、填料3g、成纸3g各之经相应处理后烘干恒重,之后分别装入已灼烧至恒重的瓷坩埚中。将盛有各种试样的坩埚在电炉上灼烧,使之炭化。然后移入高温炉内,在775士25℃的高温下灼烧至灰渣中无黑色碳素,取出坩埚,在干燥器内冷却后称重,直至恒重。

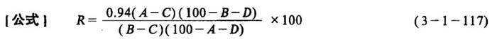
式中 R-填料留著率(%)

A-纸张灰分(%)

B-加填浆料灰分(%)

C-纤维灰分

D-填料灼烧减量(%),见表3-1-6

表3-1-6 填料的灼烧损失参考表

0.94-校正系数,在实际生产中是有少量纤维流失的,一般为6%左右,因此,乘上校正系数0.94,也即纸张纤维收获率

[注意]式3-1-113中,未考虑填料灼烧减量。纤维本身灰分及纤维流失因素,因而其计算结果偏高一些。

[例]某厂生产打字纸,经测定成纸灰分为10%,加填浆料灰分为19%,纤维灰分为0.8%,填料灼烧减量为5%,求填料留著率。

随便看

 

离鸟网收录3541549条中英文词条,其功能与新华字典、现代汉语词典、牛津高阶英汉词典等各类中英文词典类似,基本涵盖了全部常用中英文字词句的读音、释义及用法,是语言学习和写作的有利工具。

 

Copyright © 2004-2024 vtrois.com All Rights Reserved
更新时间:2026/4/18 14:36:28