纸与纸板纤维种类组成的测定计算
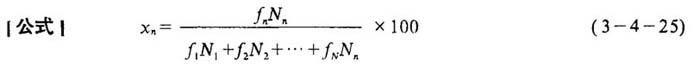
[说明]纸与纸板纤维种类组成的测定原理是用显微镜观察各种纤维对染色试剂的颜色反应及各种纤维的形态特征,来鉴定纤维的种类并测定不同纤维含量的重量百分率。纤维配比的测定方法有估计法和计算法两种,以计算法较准确,但速度较慢。 [测定方法]执行GB4688-84(国家标准局1984-09-29发布,1985-07-01实施)。 [应用仪器]显微镜、载波片及盖玻片,解剖针和镊子、纤维分散设备、过滤器、特制滴管、烘干设备、特种铅笔等。  式中 x。-各种纤维配比(%) f1、f2……fn-各种纤维的重量因子,即纤维单位长度的相对重量,见表3-4-2和表3-4-3 表3-4-2 国内纸浆纤维的重量因子  注:由轻工业部造纸工业科学研究所提出 表3-4-3 TAPPI标准采用的重量因子(供作进口浆分析参考)  N1、N2……Nn-各种纤维通过目镜“+”字测微尺的数目 |