纳维—斯托克斯方程
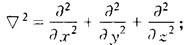
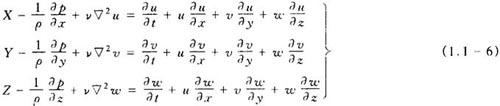
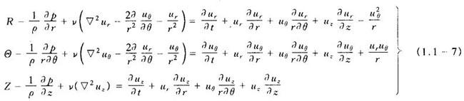
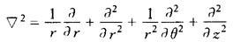
纳维—斯托克斯方程就是粘性不可压缩流体动量守恒的运动方程,简称N-S方程。该方程概括了粘性不可压缩流体流动的普遍规律,因此具有特别重要的意义。 (1)矢量式  式中 ▽2——拉普拉斯算子,在直角坐标系中为  v——流体的运动粘度; Fm——质量力; p——流体各向同性压力; v——流体速度矢量。 (2)直角坐标系标量式  式中 X,Y,Z——单位质量的质量力在x,y,z方向的分量; u,v,w——速度矢量v在x,y,z方向的分速度。 (3)圆柱坐标系标量式  式中 R, ,Z——单位质量的质量力在r,θ,z方向的分量; ▽2——拉普拉斯算子,在圆柱坐标系中为  以上三组方程,若不计粘性的作用,即设v=0,则可得到相应的理想流体的运动微分方程式,即欧拉运动微分方程。 |