网站首页  词典首页


请输入您要查询的字词:

 

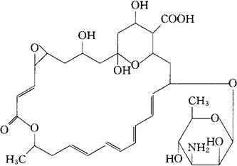
字词 纳他霉素
类别 中英文字词句释义及详细解析
释义 纳他霉素

C33H47NO13=665.73

CAS-7681-93-8

22-[(3-氨基-3,6-二脱氧-β-D-甘露吡喃糖基)氧]-1,3,26-三羟-12-甲基-10-氧代-6,11,28-三氧杂三环[22,3,1,05,7]二十八碳-8,14,16,18,20-五烯-25-羧酸的立体异构体。

Stereoisomer of 22-[(3-amino-3,6-dideoxy-β-D-mannpyranosyl)oxy]-1,3,26-trihydroxy-12-methyl-10-oxo6,11,28-trioxatricyclo[22,3,1,05,7]octacosa-8,14,1618,20-pentaene-25-carboxylic acid.

抗生素类药。

Natamycin,Myprozine,Natacyn.

INN,BAN,DCIT,NFN,USAN,USP,MI.

随便看

 

离鸟网收录3541549条中英文词条,其功能与新华字典、现代汉语词典、牛津高阶英汉词典等各类中英文词典类似,基本涵盖了全部常用中英文字词句的读音、释义及用法,是语言学习和写作的有利工具。

 

Copyright © 2004-2024 vtrois.com All Rights Reserved
更新时间:2026/4/18 3:22:57