网站首页  词典首页


请输入您要查询的字词:

 

字词 纯亚硫酸钠作漂白脱氯剂用量的计算
类别 中英文字词句释义及详细解析
释义 纯亚硫酸钠作漂白脱氯剂用量的计算

【说明】 根据亚硫酸钠(Na2SO3)脱除漂液中有效氯Ca(OCl)2的反应:

Ca(OCl)2+2Na2SO3=CaCl2+2Na2SO4

1molCa(OCl)2能反应掉2molNa2SO3,而1molCa(OCl)2的有效氯含量相当于1mol的Cl2,所以,相当于1mol的Cl2与2mol的Na2SO3正好相互作用,即70.92gCl2需作用252gNa2SO3

【公式】

式中 W——亚硫酸钠用量(kg)

W1——漂白后浆料中残氯(即有效氯)含量(kg)

C——漂后残氯浓度(g/L)

V——漂池容积(m3)

G1——亚硫酸钠的摩尔质量,126g

G2——Cl2的摩尔质量,70.92g

p——亚硫酸钠的纯度(%)

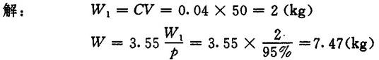
【例1】 某厂-50m3漂池,漂后残氯为0.04g/L,试求需用95%的Na2SO3脱氯剂多少千克?

随便看

 

离鸟网收录3541549条中英文词条,其功能与新华字典、现代汉语词典、牛津高阶英汉词典等各类中英文词典类似,基本涵盖了全部常用中英文字词句的读音、释义及用法,是语言学习和写作的有利工具。

 

Copyright © 2004-2024 vtrois.com All Rights Reserved
更新时间:2026/4/18 23:00:32