纤度检验
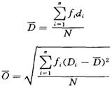
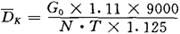
检查丝的纤度。 仪器设备: a.纤度机:机框周长1.125m,速度300r/min,有自动计数器和自停装置。 b.纤度称种类及规格(见下表):  c.工业天平:感量0.01Gg。 d.带有天平的烘丝设备。检验规程:按规定取切断检验的丝锭;筒装丝20筒;在33D(36.7dtex)及以下的绞装丝,每丝锭卷取纤度丝4绞;筒装丝每筒卷纤度10绞,34D(37.8dtex)及以上均加倍卷取。 将纤度丝50绞一组,逐绞在纤度称上称计,求得“纤度总和”,然后分组在天平上称得“纤度总量”,进行核对。计算平均纤度、纤度偏差、纤度最大偏差。  式中 ——平均纤度(D); ——纤度偏差; Di——各组纤度丝的纤度值; fi——各组纤度丝绞数; N——纤度丝总绞数; n——纤度丝组数。 纤度最大偏差:全批纤度丝中最细和最粗的的纤度,以总绞数2%,分别求出平均值,再与平均纤度比较,取其最大差值。 公量纤度:将受验的纤度丝,烘至恒重得出干量。其关系式:  式中 ——平均公量纤度D(dtex); G0——样丝的干量(g); N——纤度总绞数; T——每绞纤度丝回数。 纤度偏差、平均纤度、公量纤度均取小数二位,最大偏差取小数一位。 |