网站首页  词典首页


请输入您要查询的字词:

 

字词 红霉素[典]
类别 中英文字词句释义及详细解析
释义 红霉素[典]

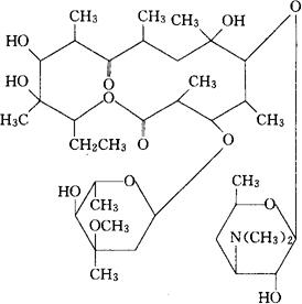
C37H67NO13=733.94

CAS-114-07-8

(3R*,4S*,5S*,6R*,7R*,9R*,11R*,12R*,13S*,14R*)-4-[(2,6-二去氧-3-C-甲基-3-O-甲基-α-L-核吡喃己糖基)氧]-14-乙基-7,12,13,-三去氧-3,5,7,9,11,13-戊甲基-6-[[3,4,6-三去氧-3-(二甲氨基)-β-D-来苏-吡喃己糖基]氧]环氧十四烷-2,10-二酮。

(3R*,4S*,5S*,6R*,7R*,9R*,11R*,12R*,13S*,14R*)-4-[(2,6-Dideoxy-3-C-methyl-3-Omethyl-α-L-ribo-hexopyranosyl)oxy]-14-ethyl-7,12,13-trideoxy-3,5,7,9,11,13-hexamethyl-6-[[3,4,6-trideoxy-3-(dimethylamino)-β-D-xylo-hexopyranosyl]oxy]oxacyclotetradecane,2,10-dione.

抗生素类药。用于对青霉素耐药的葡萄球菌感染,白喉带菌者。

红丝菌素(台)。

Erythromycin, Erythrocin, Erythrogran, Robimycinm,Ilofycin.

红霉素片,红霉素眼膏,红霉素软膏。

INN,BAN,BP,DCIT,EP,FP,JP,NFN,USAN,USP,USSRP,MI,

随便看

 

离鸟网收录3541549条中英文词条,其功能与新华字典、现代汉语词典、牛津高阶英汉词典等各类中英文词典类似,基本涵盖了全部常用中英文字词句的读音、释义及用法,是语言学习和写作的有利工具。

 

Copyright © 2004-2024 vtrois.com All Rights Reserved
更新时间:2026/4/20 11:08:10