网站首页  词典首页


请输入您要查询的字词:

 

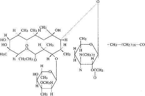
字词 红霉素醋硬脂酸盐
类别 中英文字词句释义及详细解析
释义 红霉素醋硬脂酸盐

C39H69NO14·C18H36O2=1059.45

CAS-96128-89-1

红霉素,2′-乙酸酯,十八烷酸盐。

Erythromycin,2′-acetate,octadecanoate(salt).

红霉素2′-乙酸酯,硬脂酸盐。

Erythromycin,2′-acetate,stearate(salt).

抗生素类药。

醋西红霉素。

Erythromycin Acistrate,Erasis.

USAN.

随便看

 

离鸟网收录3541549条中英文词条,其功能与新华字典、现代汉语词典、牛津高阶英汉词典等各类中英文词典类似,基本涵盖了全部常用中英文字词句的读音、释义及用法,是语言学习和写作的有利工具。

 

Copyright © 2004-2024 vtrois.com All Rights Reserved
更新时间:2026/4/18 10:35:41